Subjects
Online Tutoring
Homework Help
Homework Library
Tutors
Online Classes
More
Bookstore
Blog
Technical Tips
FAQ
Contact Us
Get Help Now
Home
Homework Library
Mathematics
Linear Algebra
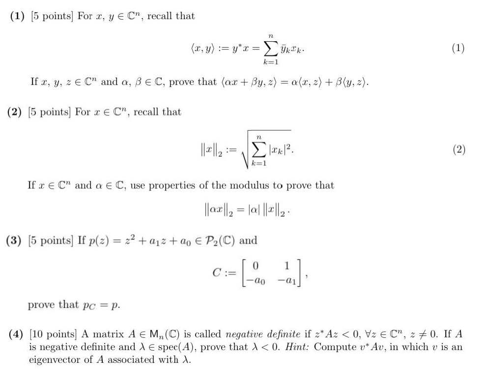
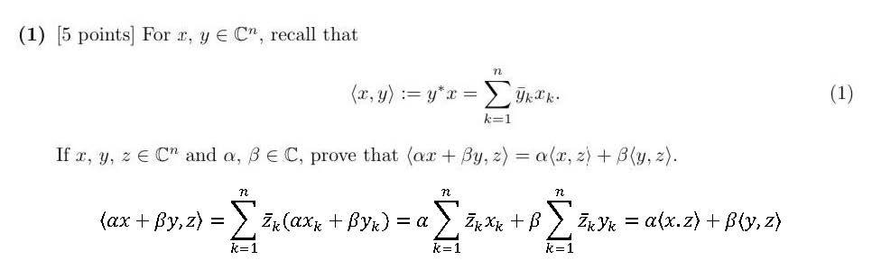
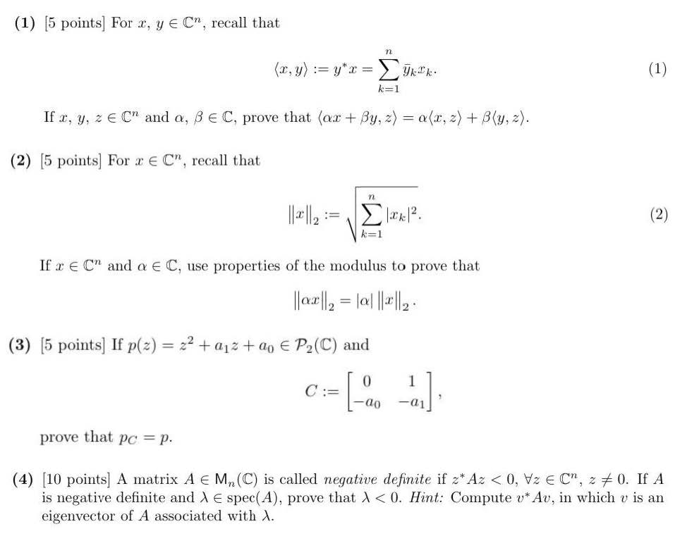
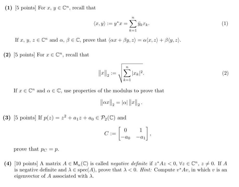
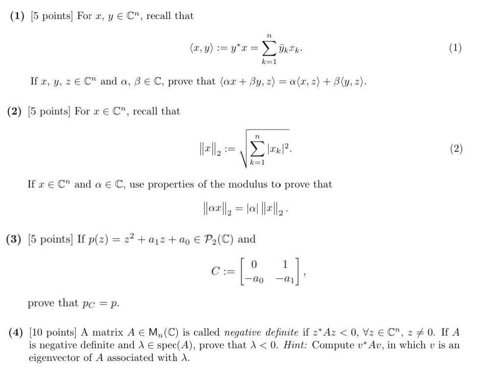
(1) [5 points] For x, y € C", recall that n = (1) k=...
(1) [5 points] For x, y € C", recall that n = (1) k=1 I...