Subjects
Online Tutoring
Homework Help
Homework Library
Tutors
Online Classes
More
Bookstore
Blog
Technical Tips
FAQ
Contact Us
Get Help Now
Home
Homework Library
Mathematics
Linear Algebra
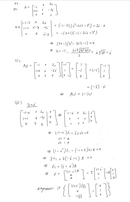
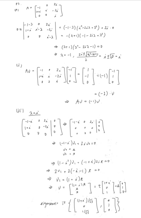
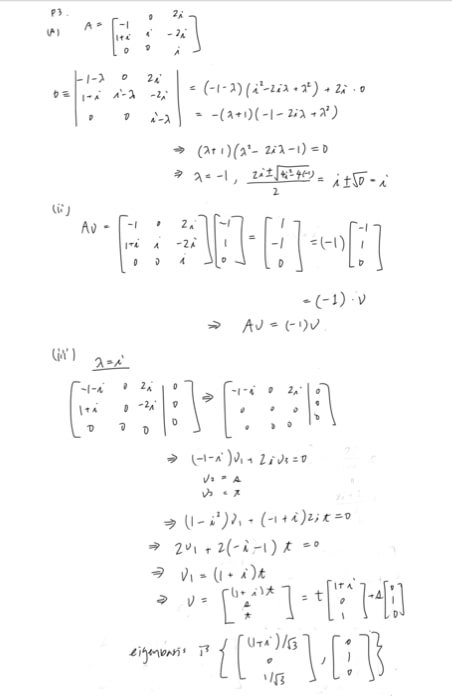
4 Problem 3: (A)Let ð´=[−102ð‘–1+ð‘–ð‘–−2ð‘–00ð‘–]. [...