Subjects
Online Tutoring
Homework Help
Homework Library
Tutors
Online Classes
More
Bookstore
Blog
Technical Tips
FAQ
Contact Us
Get Help Now
Home
Homework Library
Mathematics
Linear Algebra
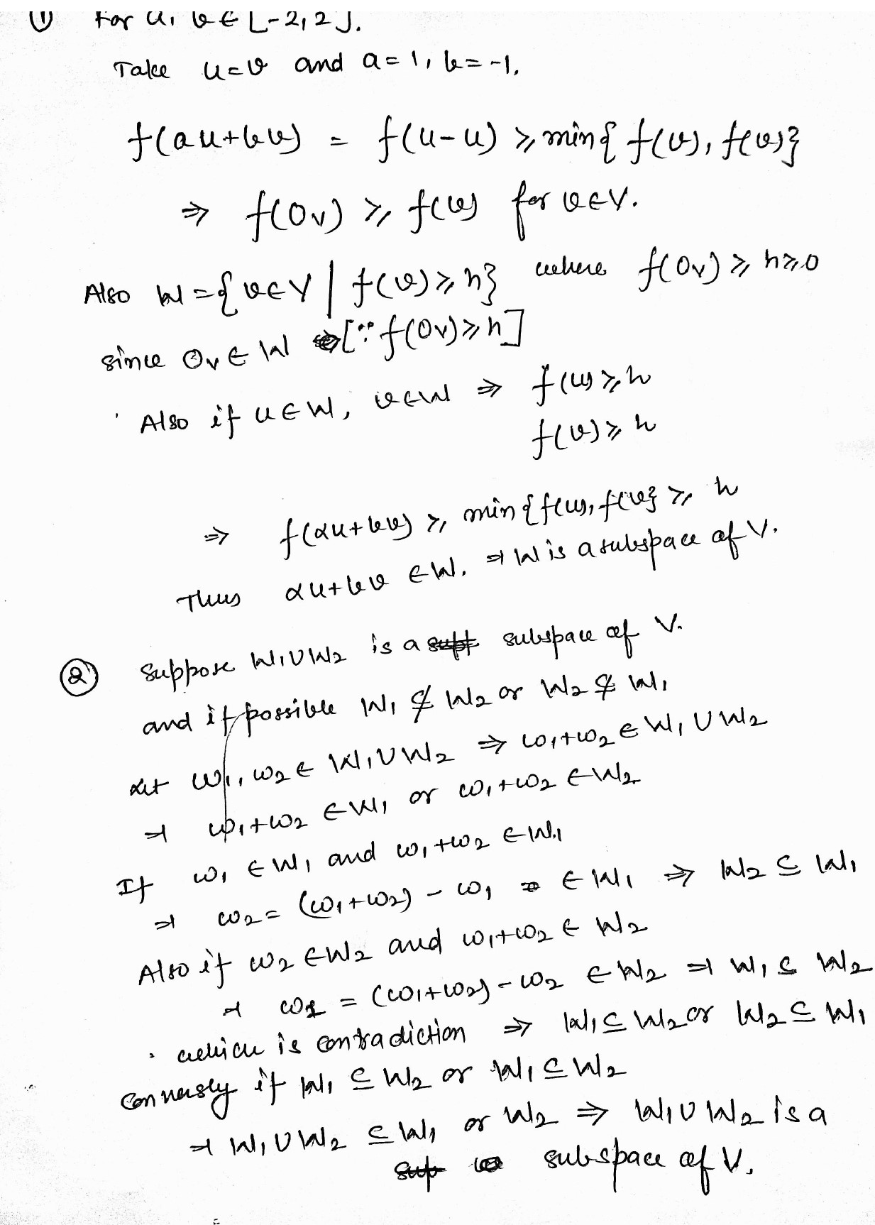
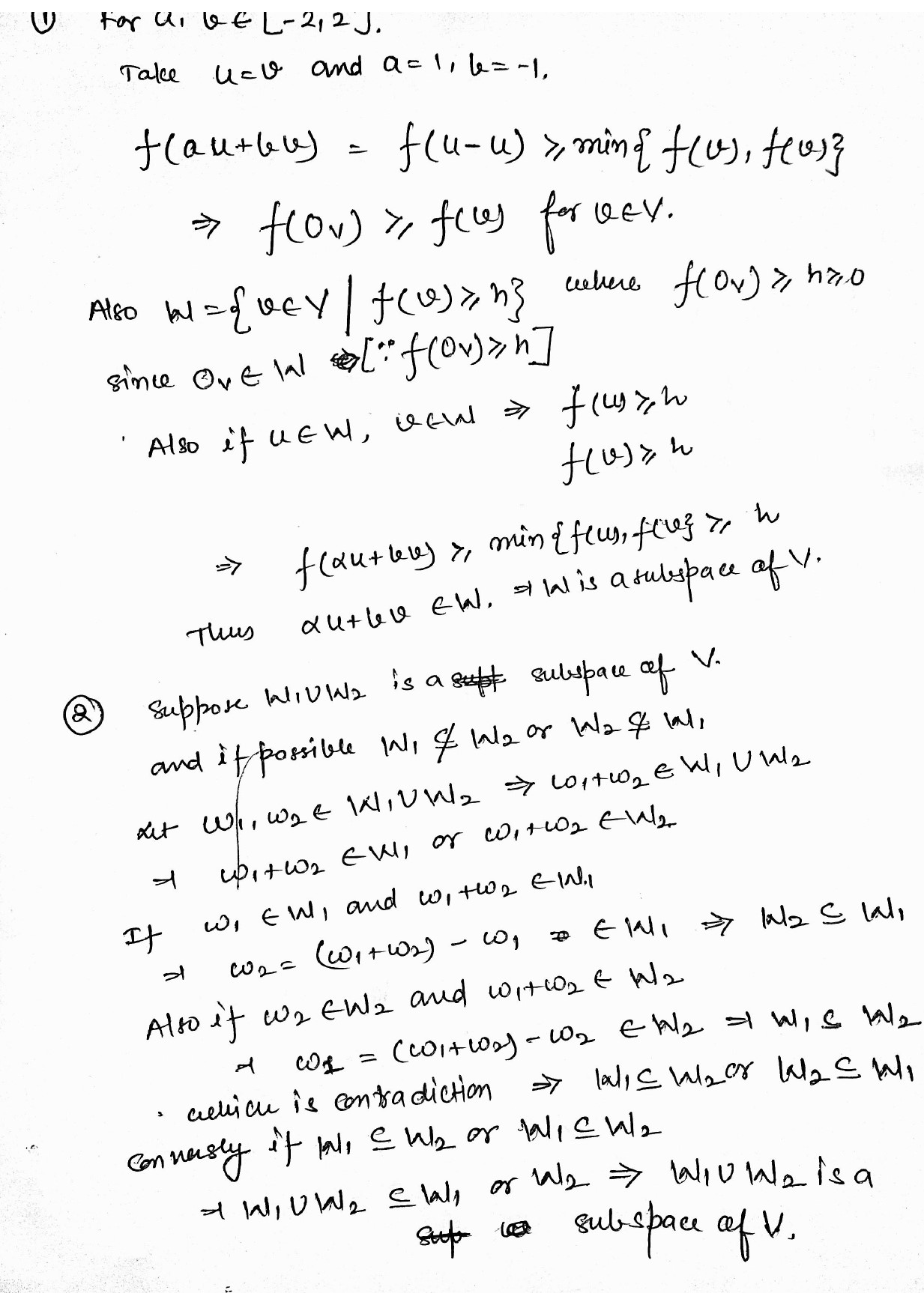
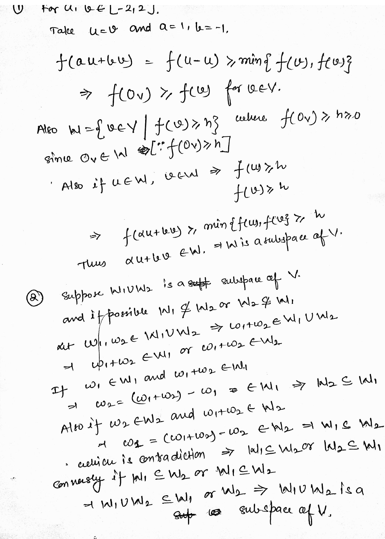
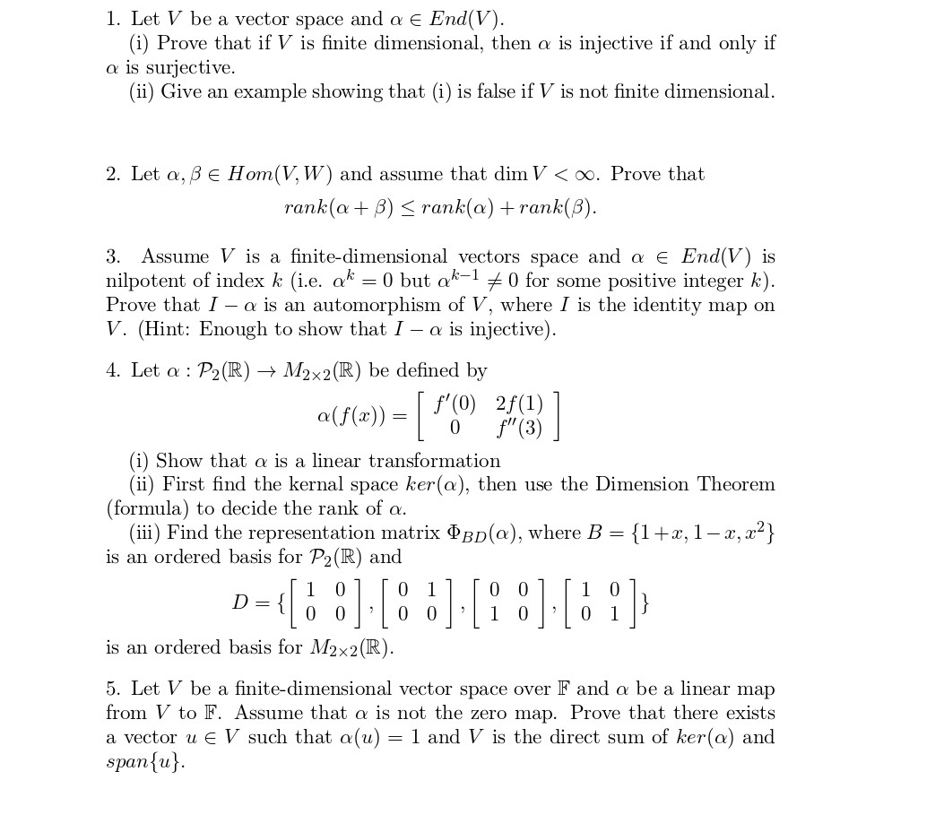
1. Let V be a real vector space and let f be a function from V to t...
1. Let V be a real vector space and let f be a function from V to t...