Subjects
Online Tutoring
Homework Help
Homework Library
Tutors
Online Classes
More
Bookstore
Blog
Technical Tips
FAQ
Contact Us
Get Help Now
Home
Homework Library
Mathematics
Linear Algebra
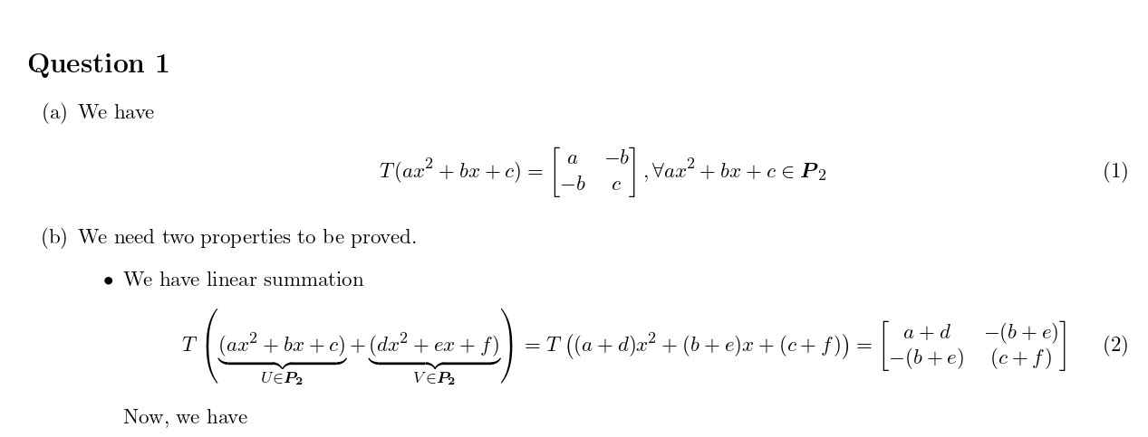
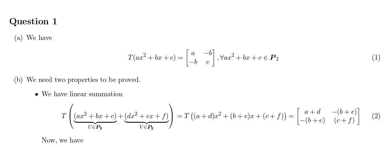
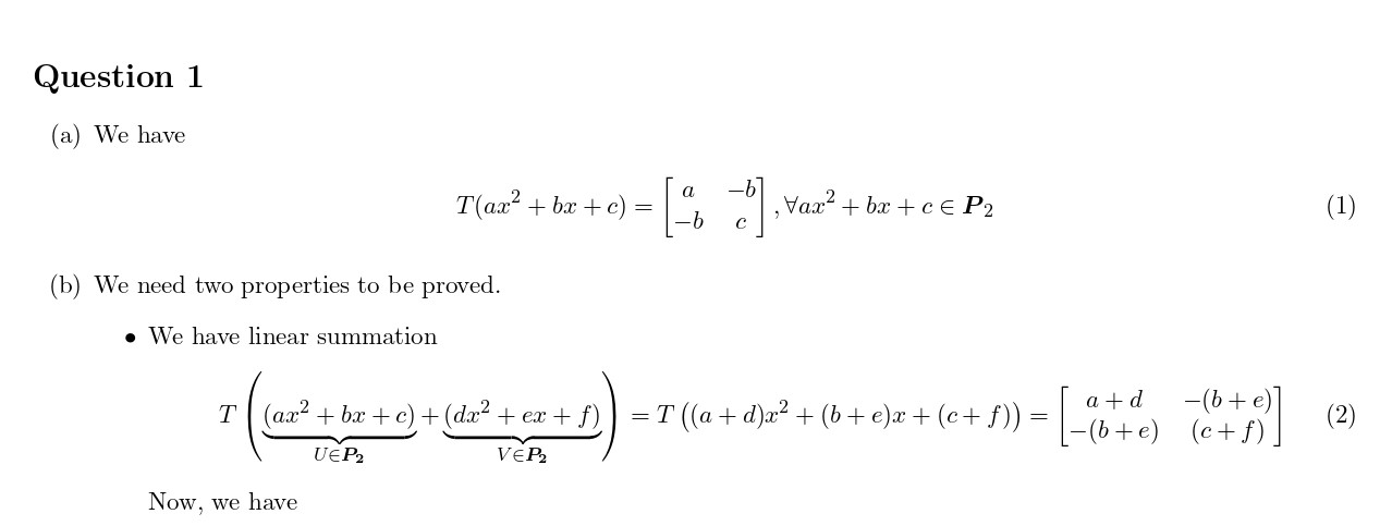
Question 1 (8 points) Give an example of a linear transformation T...
Question 1 (8 points) Give an example of a linear transformation T...