Subjects
Online Tutoring
Homework Help
Homework Library
Tutors
Online Classes
More
Bookstore
Blog
Technical Tips
FAQ
Contact Us
Get Help Now
Home
Homework Library
Mathematics
Linear Algebra
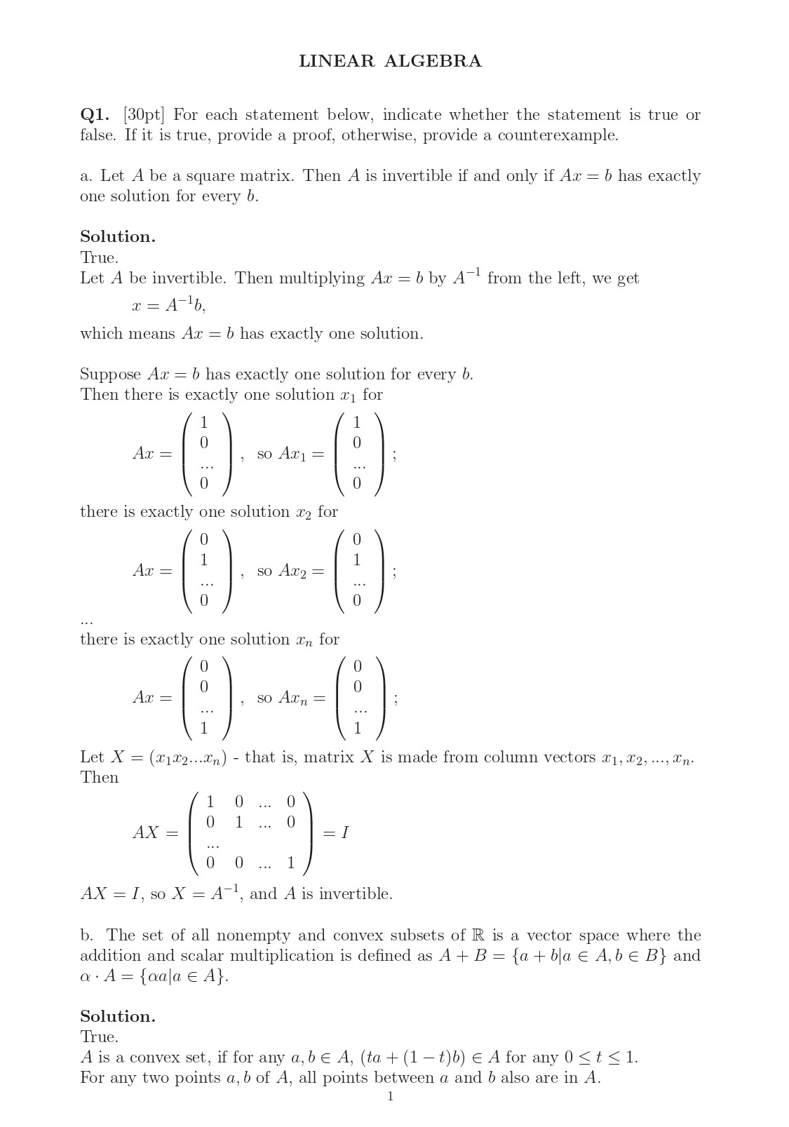
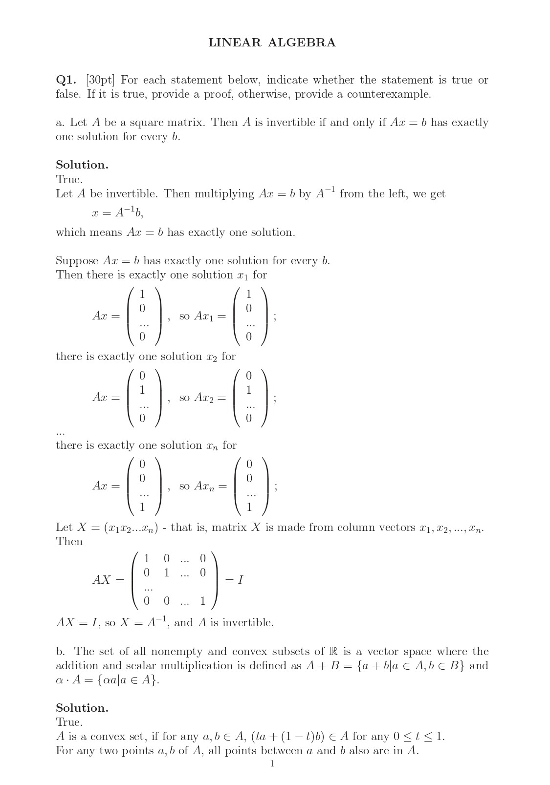
Q1. [30pt] For each statement below, indicate whether the statement...
Q1. [30pt] For each statement below, indicate whether the statement...