Subjects
Online Tutoring
Homework Help
Homework Library
Tutors
Online Classes
More
Bookstore
Blog
Technical Tips
FAQ
Contact Us
Get Help Now
Home
Homework Library
Mathematics
Linear Algebra
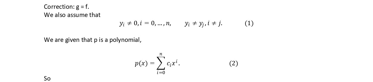
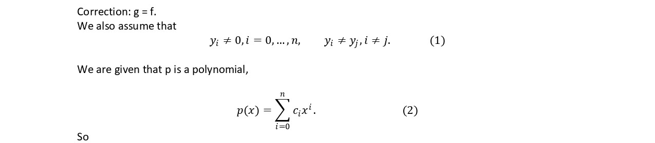
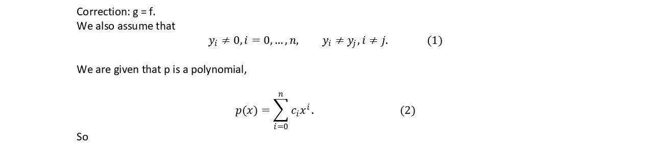
Given some sequence E Yj ? 3j=0 such that y; EIR for all ; and giv...
Given some sequence E Yj ? 3j=0 such that y; EIR for all ; and giv...