Subjects
Online Tutoring
Homework Help
Homework Library
Tutors
Online Classes
More
Bookstore
Blog
Technical Tips
FAQ
Contact Us
Get Help Now
Home
Homework Library
Mathematics
Math Logic
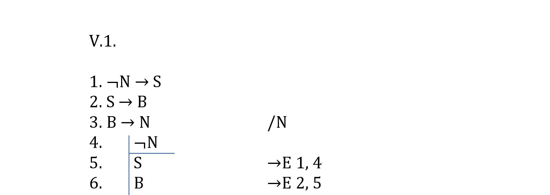
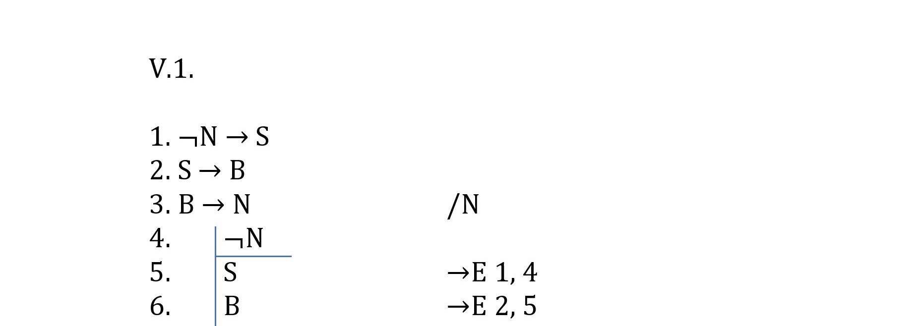
Give a derivation to show that the following argument is valid in T...
Give a derivation to show that the following argument is valid in T...