Subjects
Online Tutoring
Homework Help
Homework Library
Tutors
Online Classes
More
Bookstore
Blog
Technical Tips
FAQ
Contact Us
Get Help Now
Home
Homework Library
Mathematics
Math Logic
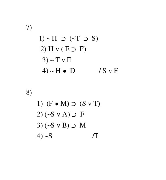
Instructions: Use the first eight rules of inference to derive the ...
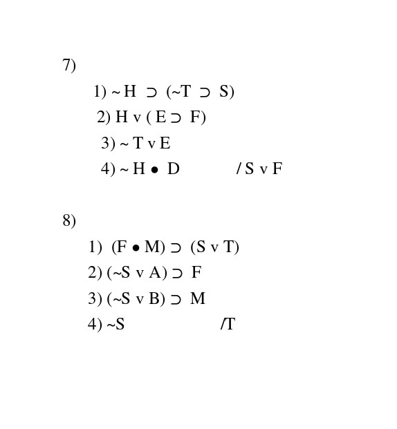
Instructions: Use the first eight rules of inference to derive the...