Subjects
Online Tutoring
Homework Help
Homework Library
Tutors
Online Classes
More
Bookstore
Blog
Technical Tips
FAQ
Contact Us
Get Help Now
Home
Homework Library
Mathematics
Math Logic
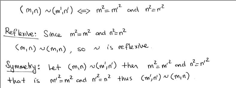
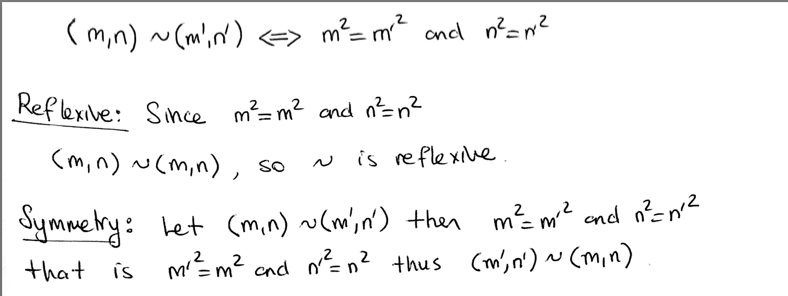
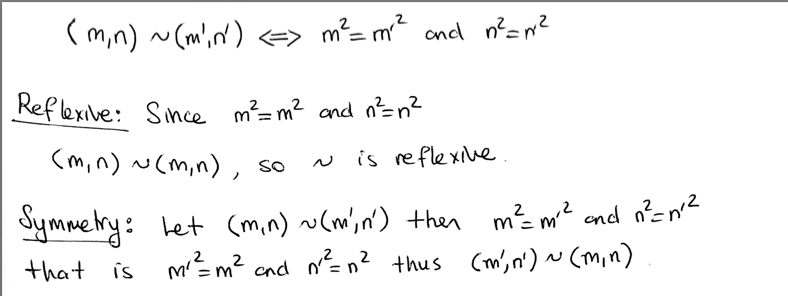
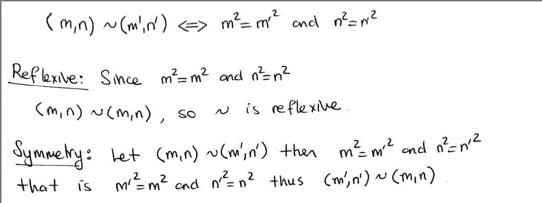
We define the following relation On I2 (m,n) ~ (min') if and donly...
We define the following relation On I2 (m,n) ~ (min') if and donly...