Subjects
Online Tutoring
Homework Help
Homework Library
Tutors
Online Classes
More
Bookstore
Blog
Technical Tips
FAQ
Contact Us
Get Help Now
Home
Homework Library
Mathematics
Math Logic
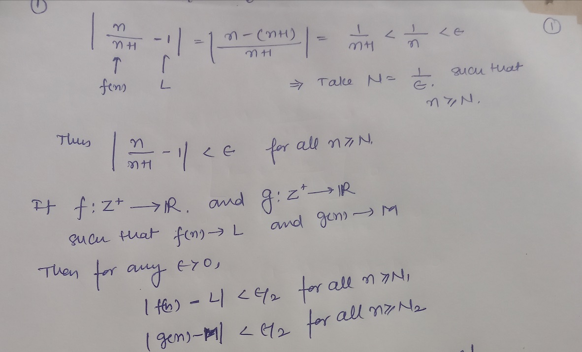
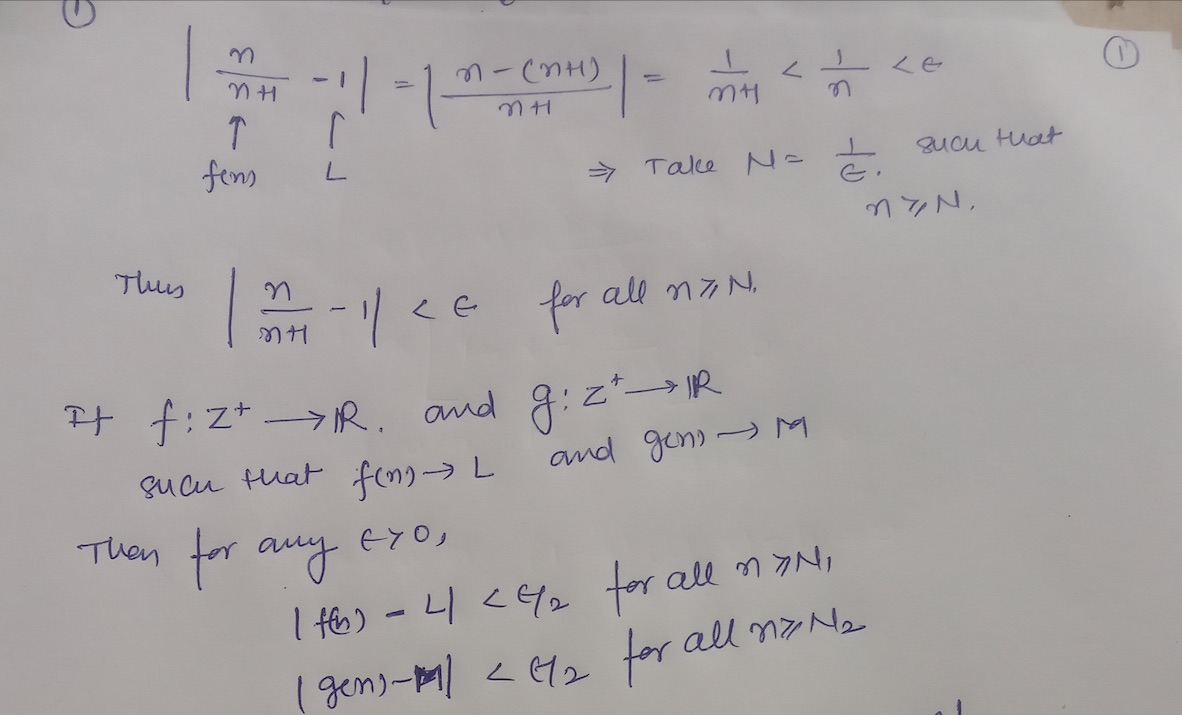
Given a sequence f:Z+ R of real numbers, we say that the sequence c...
Given a sequence f:Z+ R of real numbers, we say that the sequence c...