Subjects
Online Tutoring
Homework Help
Homework Library
Tutors
Online Classes
More
Bookstore
Blog
Technical Tips
FAQ
Contact Us
Get Help Now
Home
Homework Library
Mathematics
Mathematics - Other
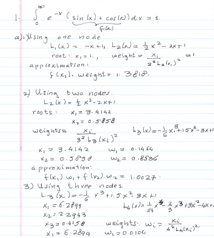
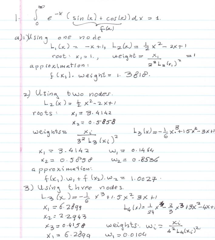
1. It can be shown that ∫ 𑒠−𑥠∞ 0 (sin 𑥠+ cos...