Subjects
Online Tutoring
Homework Help
Homework Library
Tutors
Online Classes
More
Bookstore
Blog
Technical Tips
FAQ
Contact Us
Get Help Now
Home
Homework Library
Mathematics
Mathematics - Other
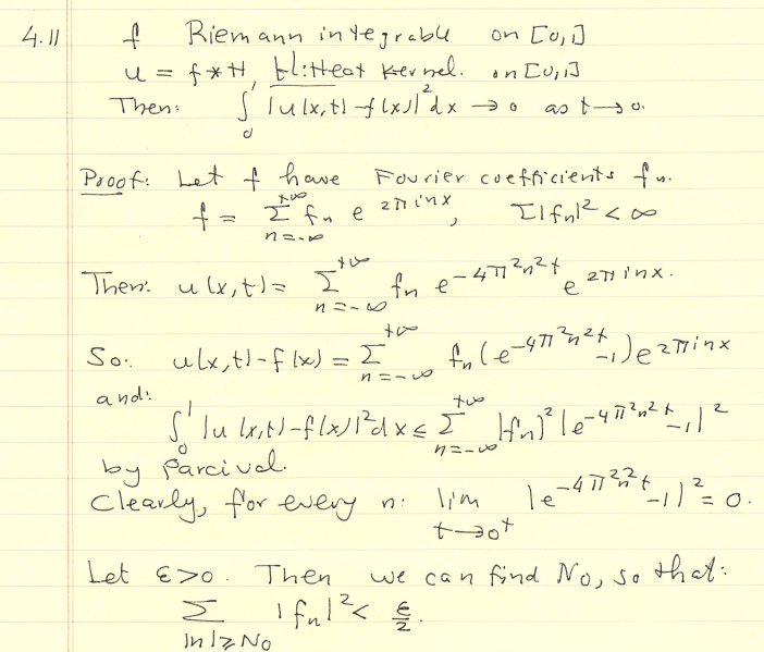
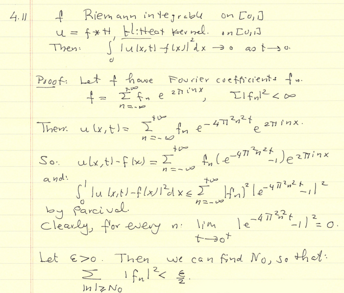
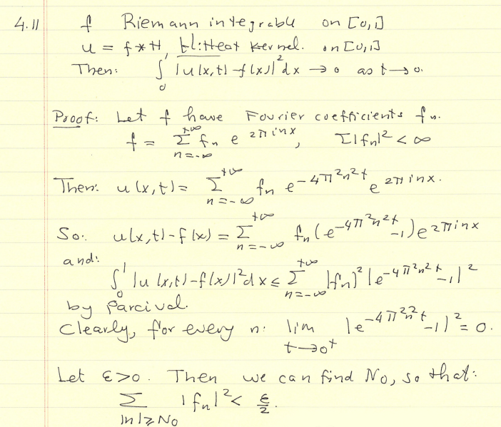
11. Show that if u(x, t) = (f ∗ Ht)(x) where Ht is the heat k...
11. Show that if u(x, t) = (f ∗ Ht)(x) where Ht is the heat kerne...