Subjects
Online Tutoring
Homework Help
Homework Library
Tutors
Online Classes
More
Bookstore
Blog
Technical Tips
FAQ
Contact Us
Get Help Now
Home
Homework Library
Mathematics
Mathematics - Other
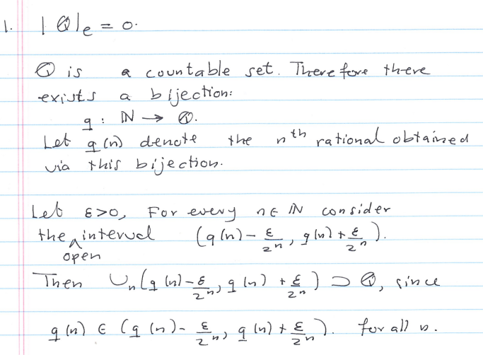
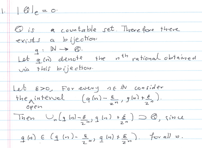
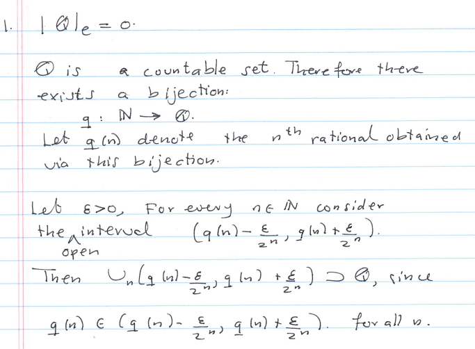
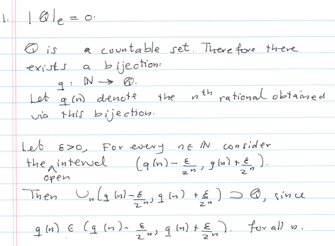
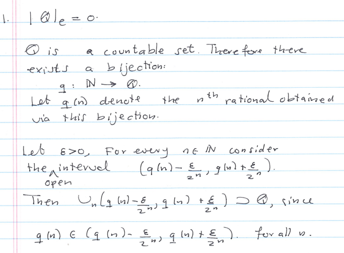
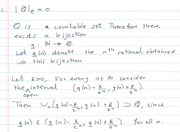
1. Show that |Q|ₑ = 0. 2. Show that |R|ₑ = ∞. ...
1. Show that |Q|ₑ = 0. 2. Show that |R|ₑ = ∞. Book: Measu...