Subjects
Online Tutoring
Homework Help
Homework Library
Tutors
Online Classes
More
Bookstore
Blog
Technical Tips
FAQ
Contact Us
Get Help Now
Home
Homework Library
Mathematics
Mathematics - Other
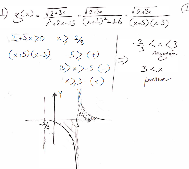
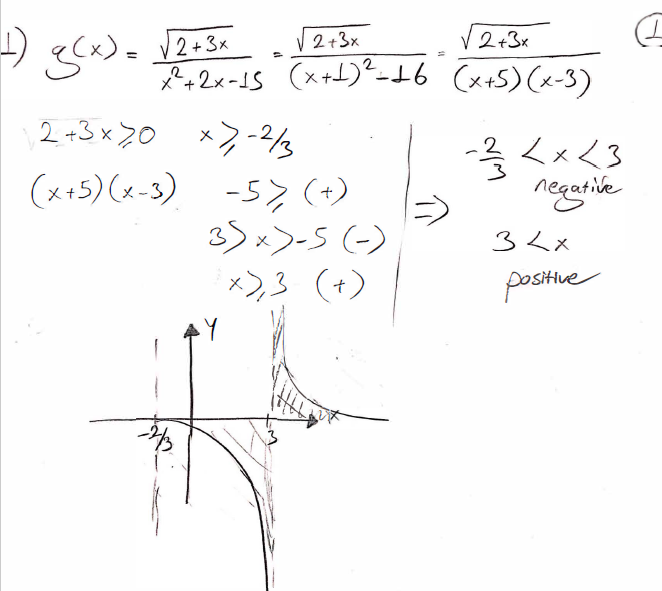
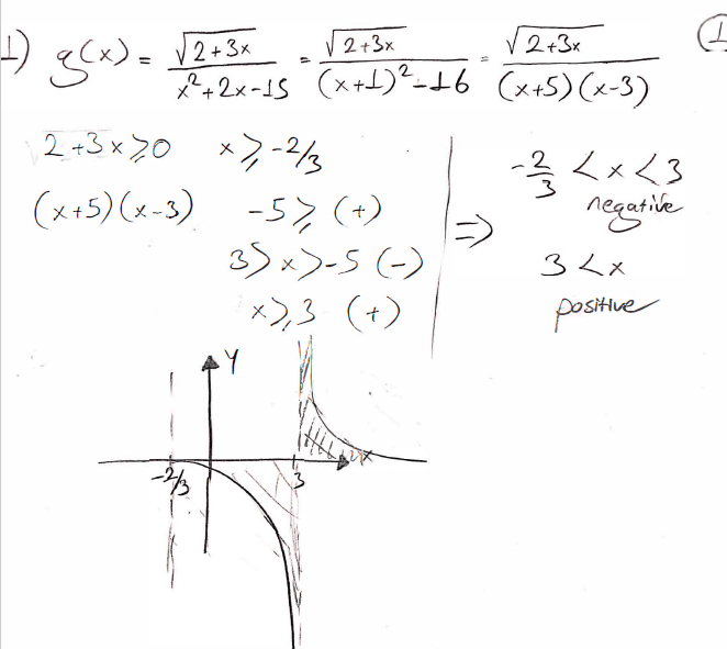
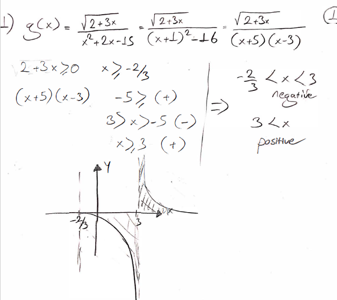
(1) Find the domain of ð‘”(ð‘¥) = √2 + 3ð‘¥ ð‘¥ 2+2ð‘¥âˆ’...