Subjects
Online Tutoring
Homework Help
Homework Library
Tutors
Online Classes
More
Bookstore
Blog
Technical Tips
FAQ
Contact Us
Get Help Now
Home
Homework Library
Mathematics
Mathematics - Other
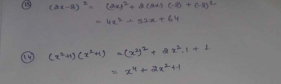
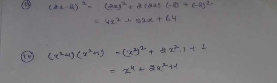
13. (2x - 8)² 14. (x² +)² 15. (m² -2)² 16. (x³...
13. (2x - 8)² 14. (x² +)² 15. (m² -2)² 16. (x³ -1)² 17....