Subjects
Online Tutoring
Homework Help
Homework Library
Tutors
Online Classes
More
Bookstore
Blog
Technical Tips
FAQ
Contact Us
Get Help Now
Home
Homework Library
Mathematics
Mathematics - Other
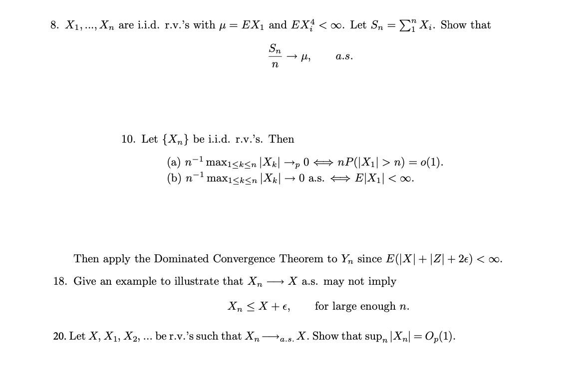
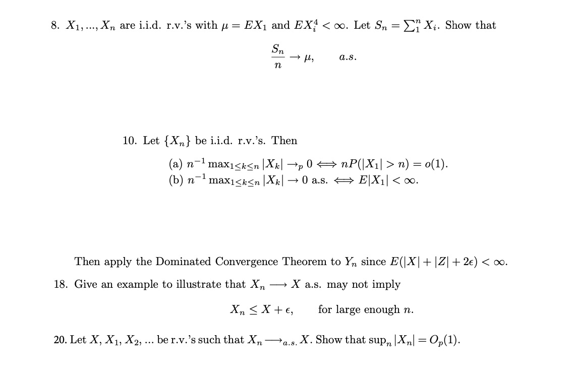
8. X1,...,Xn are i.i.d. r.v.’s with μ = EX1 and EXi < ...
8. X1,...,Xn are i.i.d. r.v.’s with μ = EX1 and EXi < ∞. Le...