Subjects
Online Tutoring
Homework Help
Homework Library
Tutors
Online Classes
More
Bookstore
Blog
Technical Tips
FAQ
Contact Us
Get Help Now
Home
Homework Library
Mathematics
Mathematics - Other
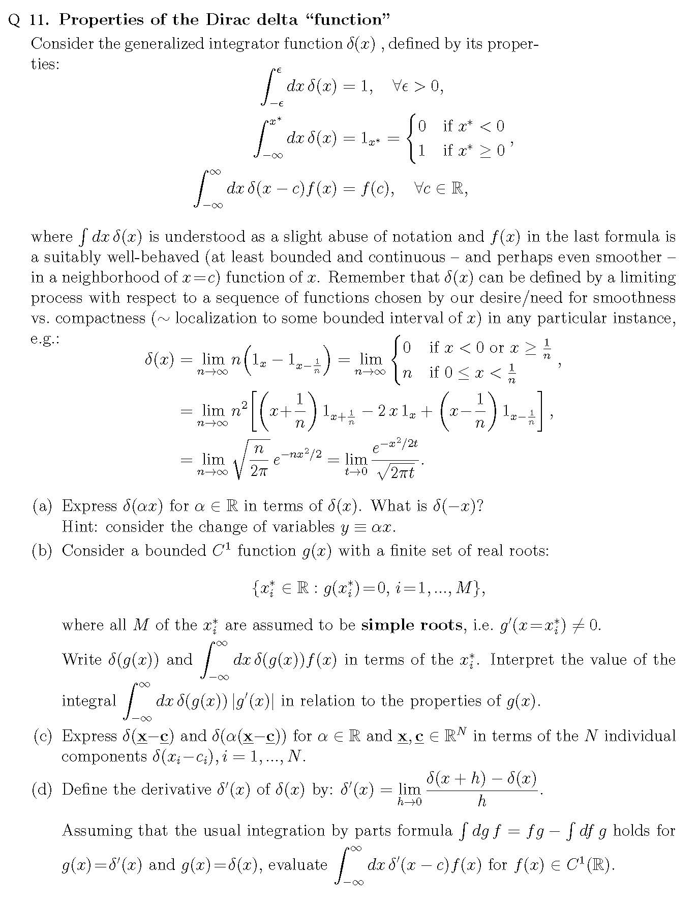
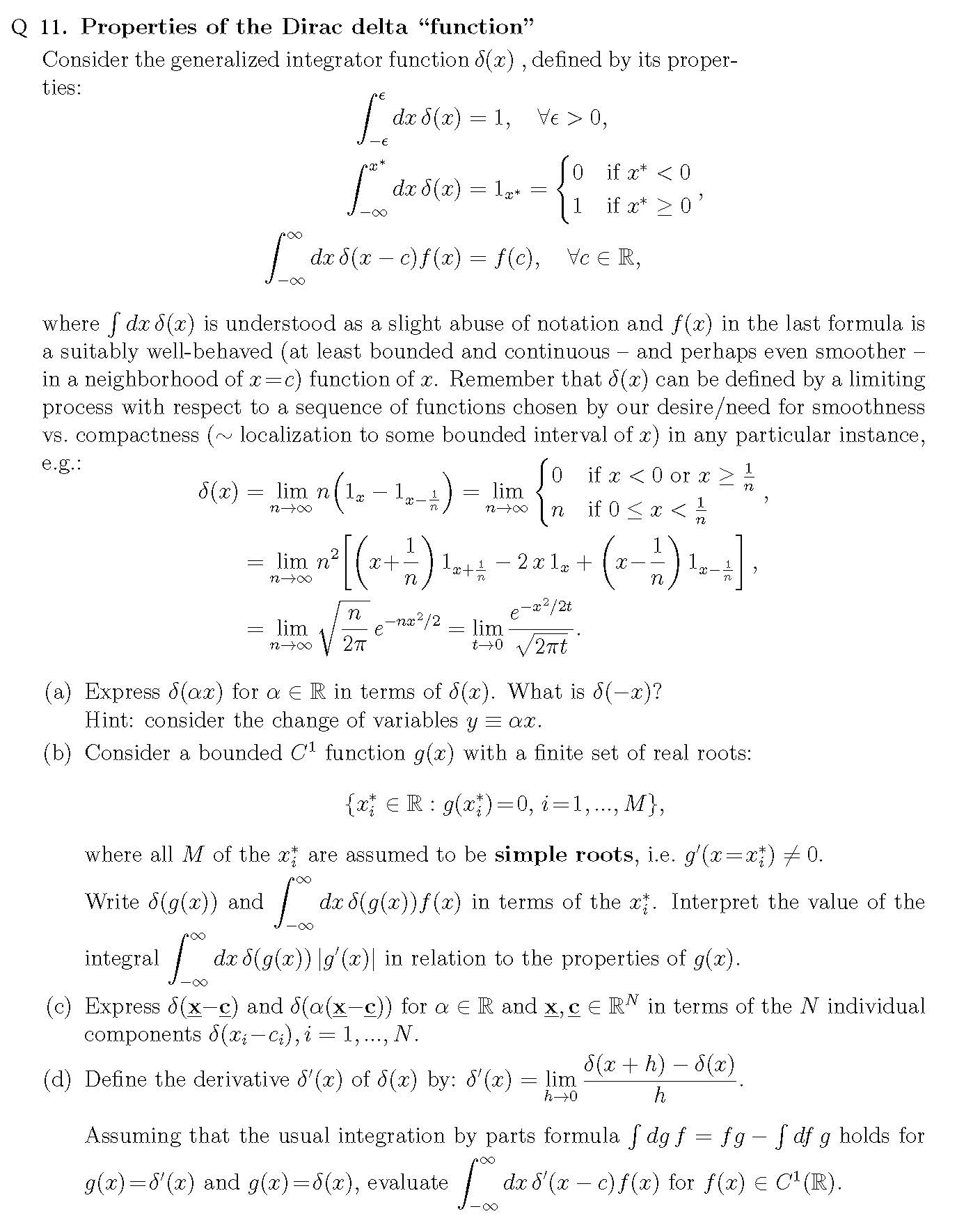
Q 11. Properties of the Dirac delta “function†Conside...
Q 11. Properties of the Dirac delta “function†Consider the ge...