Subjects
Online Tutoring
Homework Help
Homework Library
Tutors
Online Classes
More
Bookstore
Blog
Technical Tips
FAQ
Contact Us
Get Help Now
Home
Homework Library
Mathematics
Mathematics - Other
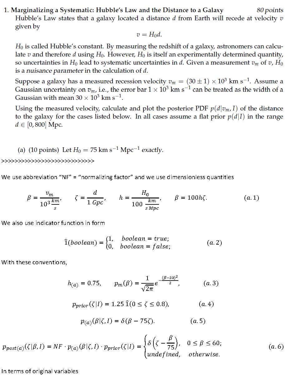
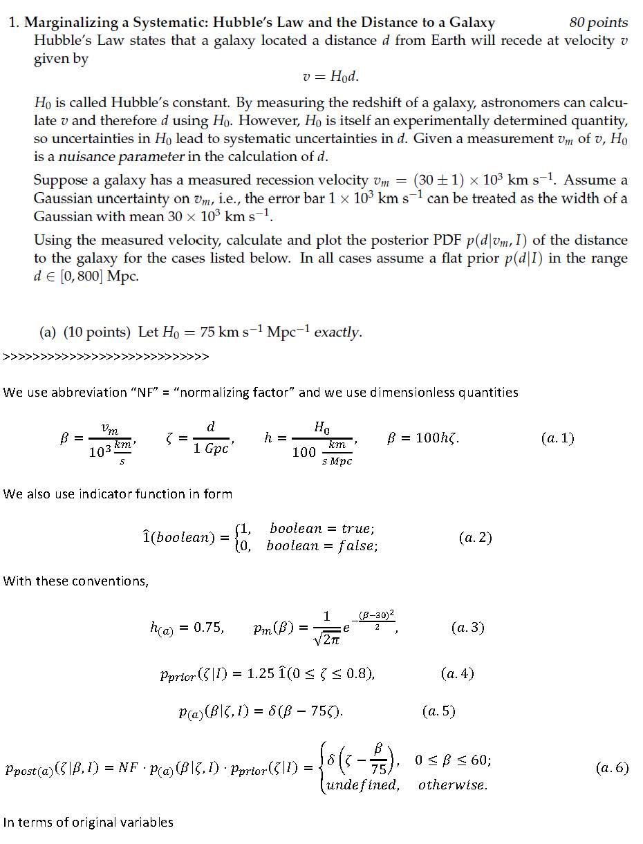
1. Marginalizing a Systematic: Hubble’s Law and the Distance...
1. Marginalizing a Systematic: Hubble’s Law and the Distance to a...