Subjects
Online Tutoring
Homework Help
Homework Library
Tutors
Online Classes
More
Bookstore
Blog
Technical Tips
FAQ
Contact Us
Get Help Now
Home
Homework Library
Mathematics
Mathematics - Other
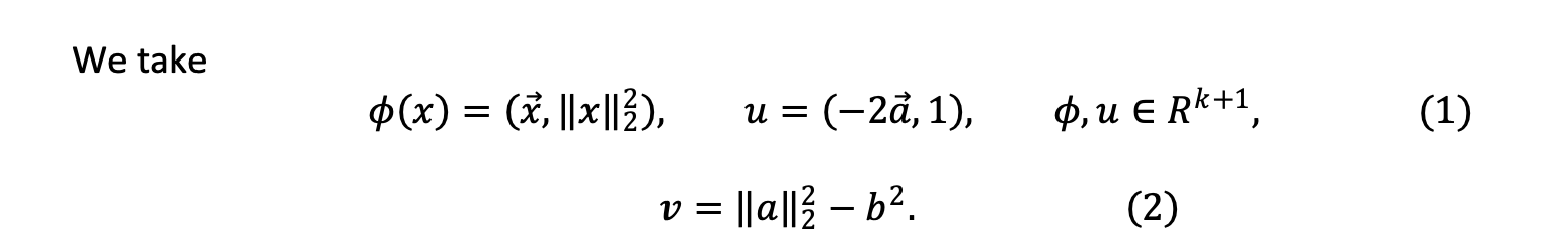
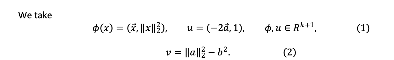
2. Consider the sphere Sa,b = {x € R*: ||x - a||2 respectivel...
2. Consider the sphere Sa,b = {x € R*: ||x - a||2 respectively. D...