Subjects
Online Tutoring
Homework Help
Homework Library
Tutors
Online Classes
More
Bookstore
Blog
Technical Tips
FAQ
Contact Us
Get Help Now
Home
Homework Library
Mathematics
Mathematics - Other
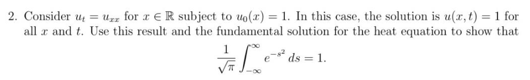
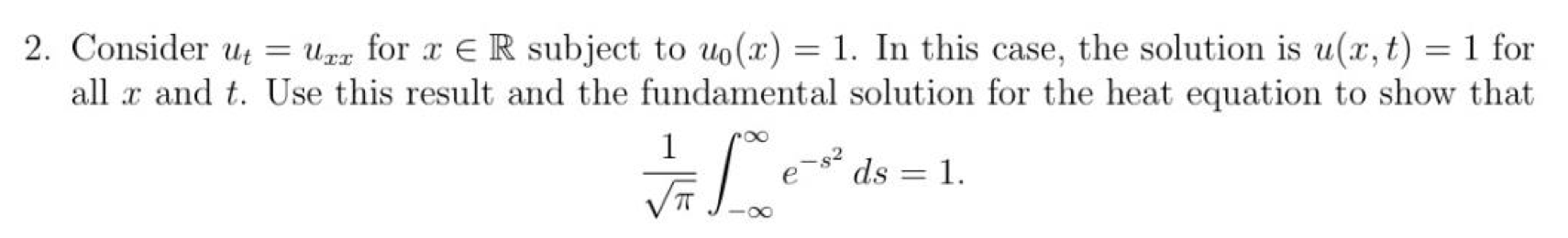
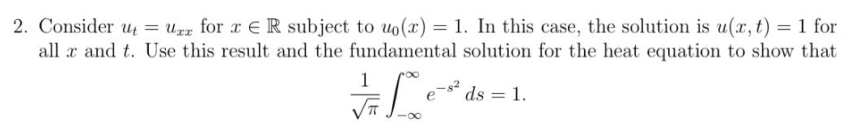
2. Consider Ut = Uxx for x € R subject to uo(x) = 1. In this ...
2. Consider Ut = Uxx for x € R subject to uo(x) = 1. In this case...