Subjects
Online Tutoring
Homework Help
Homework Library
Tutors
Online Classes
More
Bookstore
Blog
Technical Tips
FAQ
Contact Us
Get Help Now
Home
Homework Library
Mathematics
Measure Theory
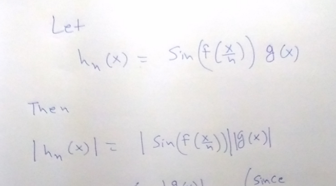
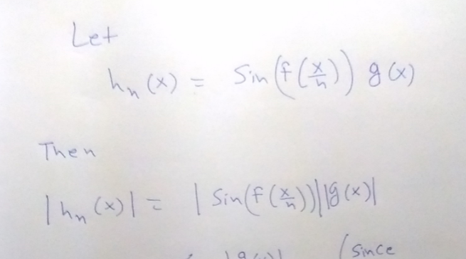
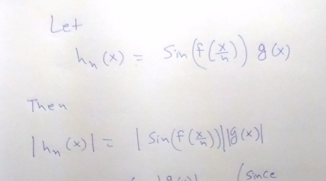
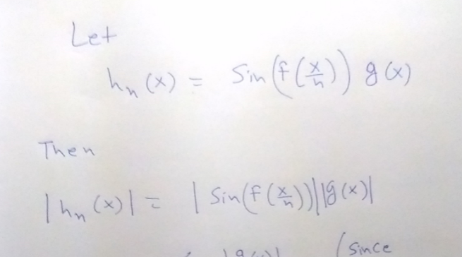
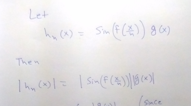
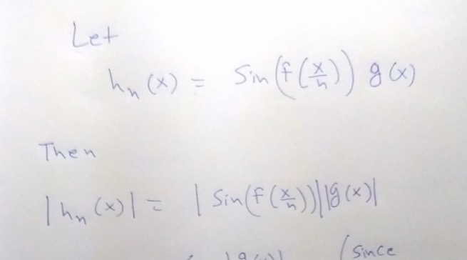
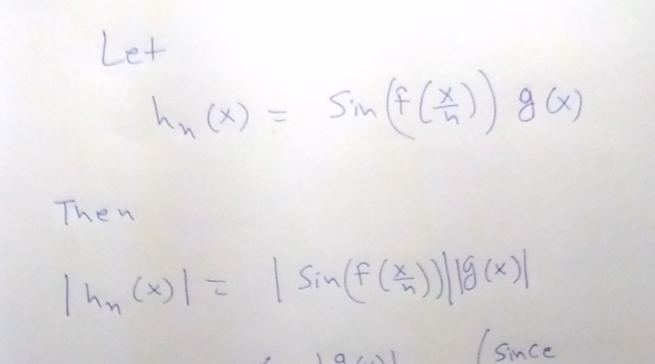
Let g:R→R be an integrable function with ∫g(x)dx= 3, an...
Let g:R→R be an integrable function with ∫g(x)dx= 3, and let f:...