Subjects
Online Tutoring
Homework Help
Homework Library
Tutors
Online Classes
More
Bookstore
Blog
Technical Tips
FAQ
Contact Us
Get Help Now
Home
Homework Library
Mathematics
Measure Theory
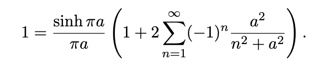
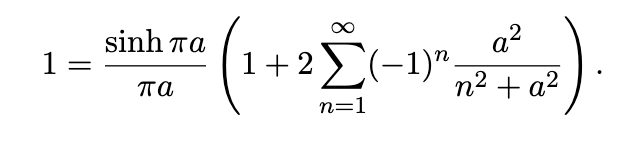
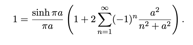
Let a >0. Compute the Fourier coefficients of f(x) =e(ͣ ͯ...
Let a >0. Compute the Fourier coefficients of f(x) =e(ͣ ͯ ) a...