Subjects
Online Tutoring
Homework Help
Homework Library
Tutors
Online Classes
More
Bookstore
Blog
Technical Tips
FAQ
Contact Us
Get Help Now
Home
Homework Library
Mathematics
Number Theory
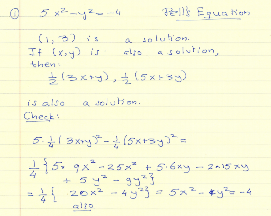
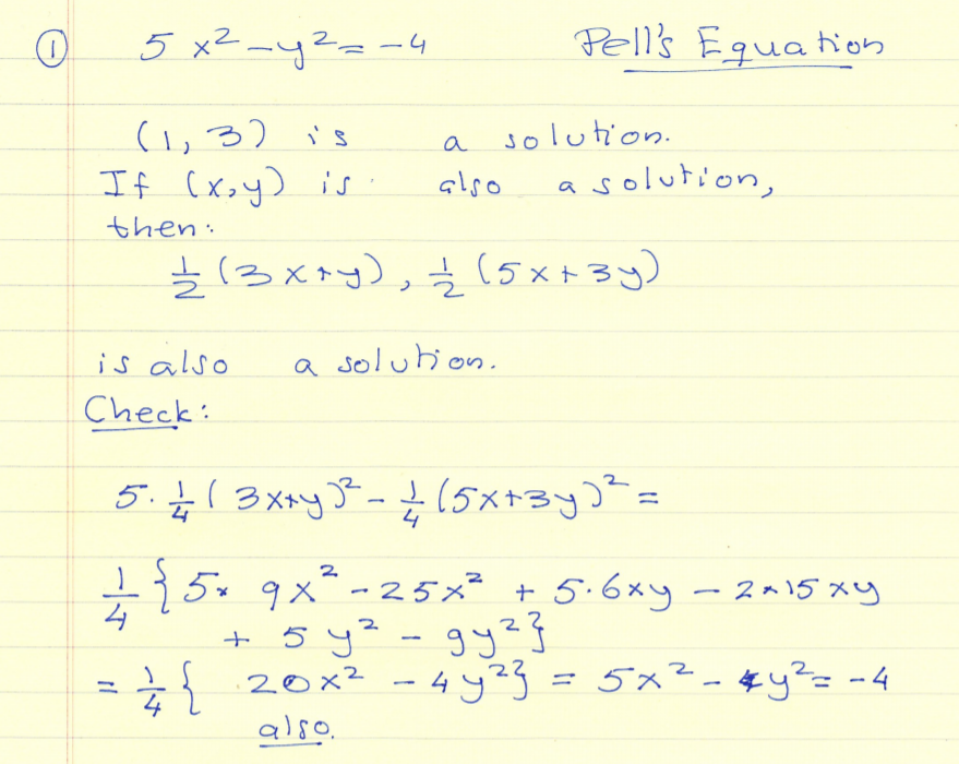
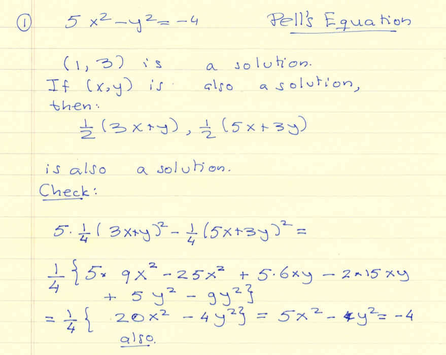
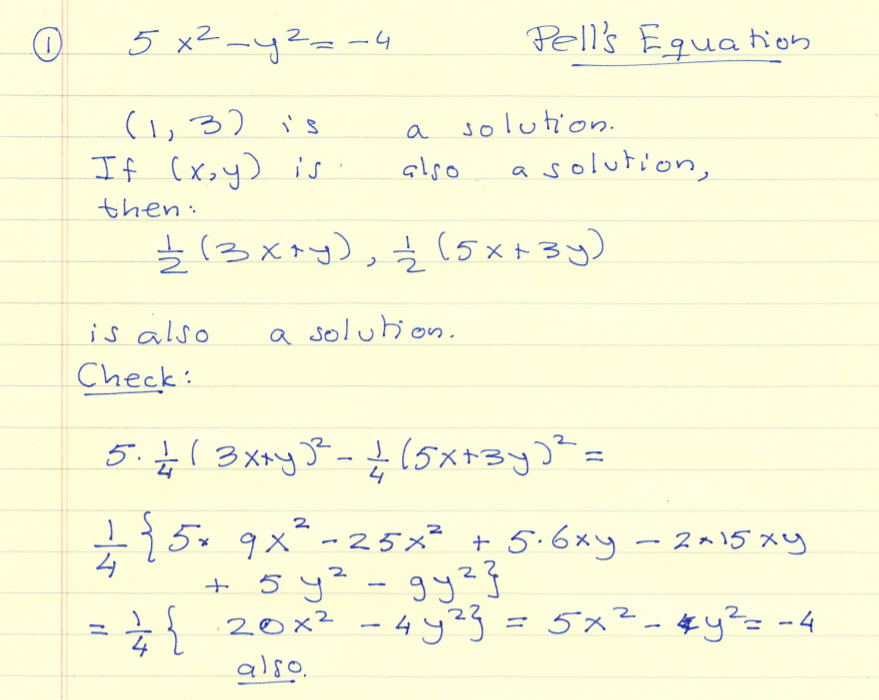
1. 5x² - y² = -4 The solution is (x,y) = (1,3), but how to g...
1. 5x² - y² = -4 The solution is (x,y) = (1,3), but how to get i...