Subjects
Online Tutoring
Homework Help
Homework Library
Tutors
Online Classes
More
Bookstore
Blog
Technical Tips
FAQ
Contact Us
Get Help Now
Home
Homework Library
Mathematics
Pre-Calculus
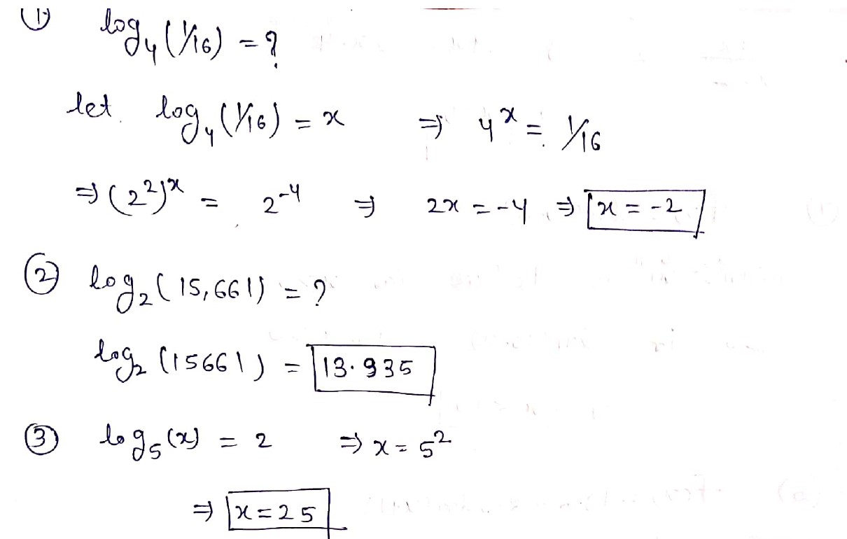
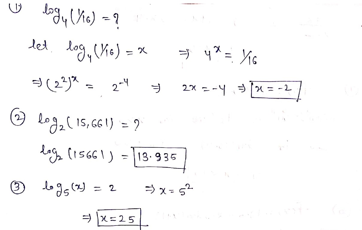
Question 1 (5 points) 1) Listen Find the exact value of log4(1/16...
Question 1 (5 points) 1) Listen Find the exact value of log4(1/16...