Subjects
Online Tutoring
Homework Help
Homework Library
Tutors
More
Bookstore
Blog
Technical Tips
FAQ
Contact Us
Get Help Now
Home
Homework Library
Mathematics
Pre-Calculus
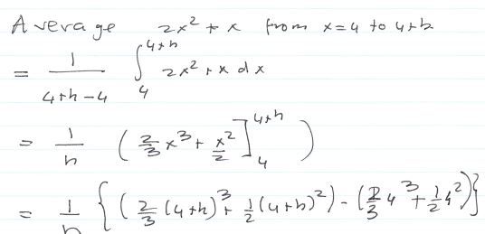
Find the average rate of change of the function 2x²+x from x=4 t...
Find the average rate of change of the function 2x²+x from x=4 to...