Subjects
Online Tutoring
Homework Help
Homework Library
Tutors
Online Classes
More
Bookstore
Blog
Technical Tips
FAQ
Contact Us
Get Help Now
Home
Homework Library
Mathematics
Pre-Calculus
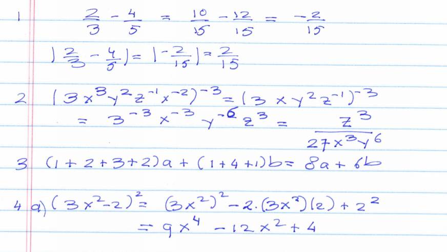
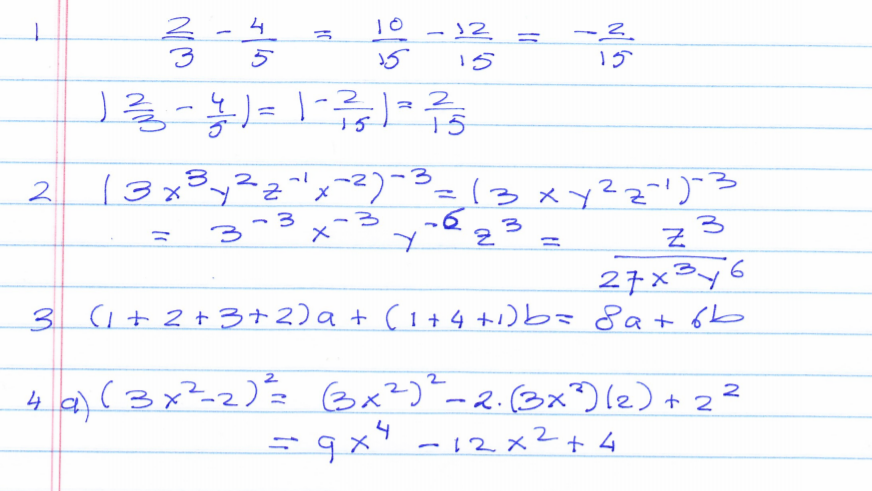
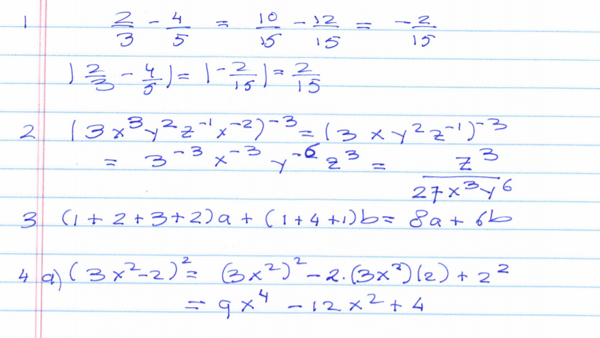
Question 1 Determine the value: 2 4 3 5 Question Simplify and wr...
Question 1 Determine the value: 2 4 3 5 Question Simplify and wr...