Subjects
Online Tutoring
Homework Help
Homework Library
Tutors
Online Classes
More
Bookstore
Blog
Technical Tips
FAQ
Contact Us
Get Help Now
Home
Homework Library
Mathematics
Pre-Calculus
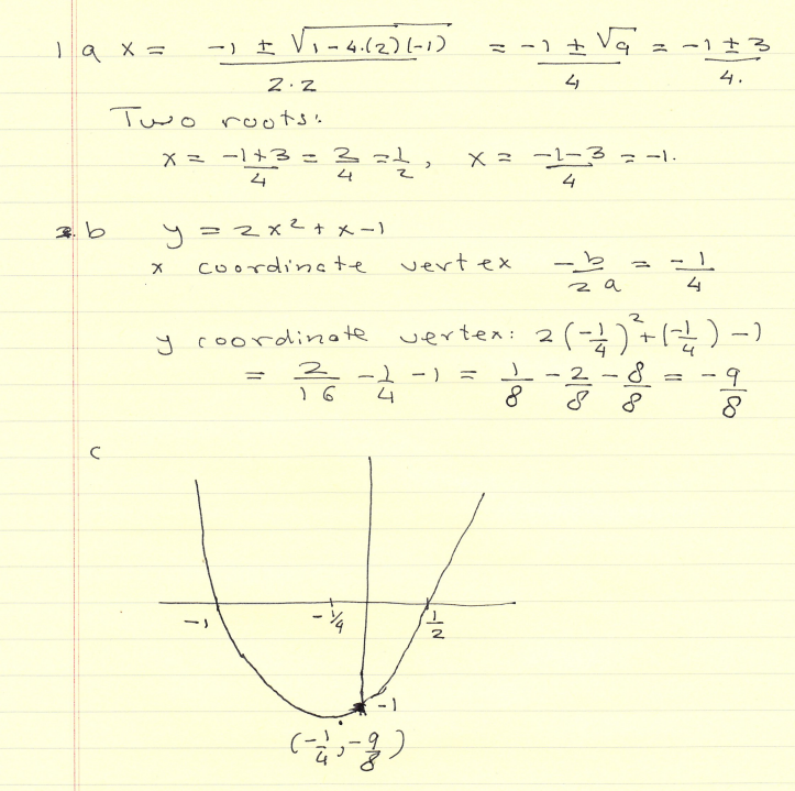
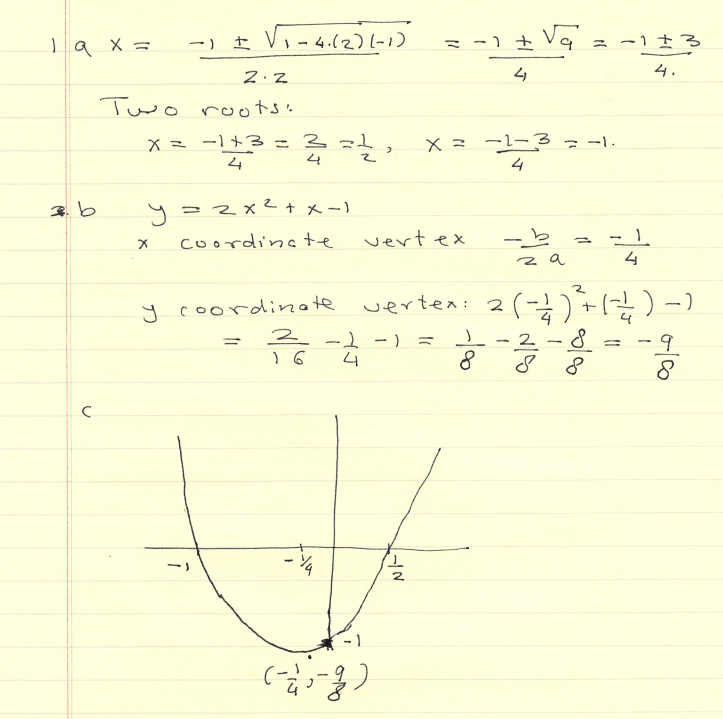
QUESTION ONE (a) Use the quadratic formula to determine the roots ...
QUESTION ONE (a) Use the quadratic formula to determine the roots...