Subjects
Online Tutoring
Homework Help
Homework Library
Tutors
Online Classes
More
Bookstore
Blog
Technical Tips
FAQ
Contact Us
Get Help Now
Home
Homework Library
Mathematics
Pre-Calculus
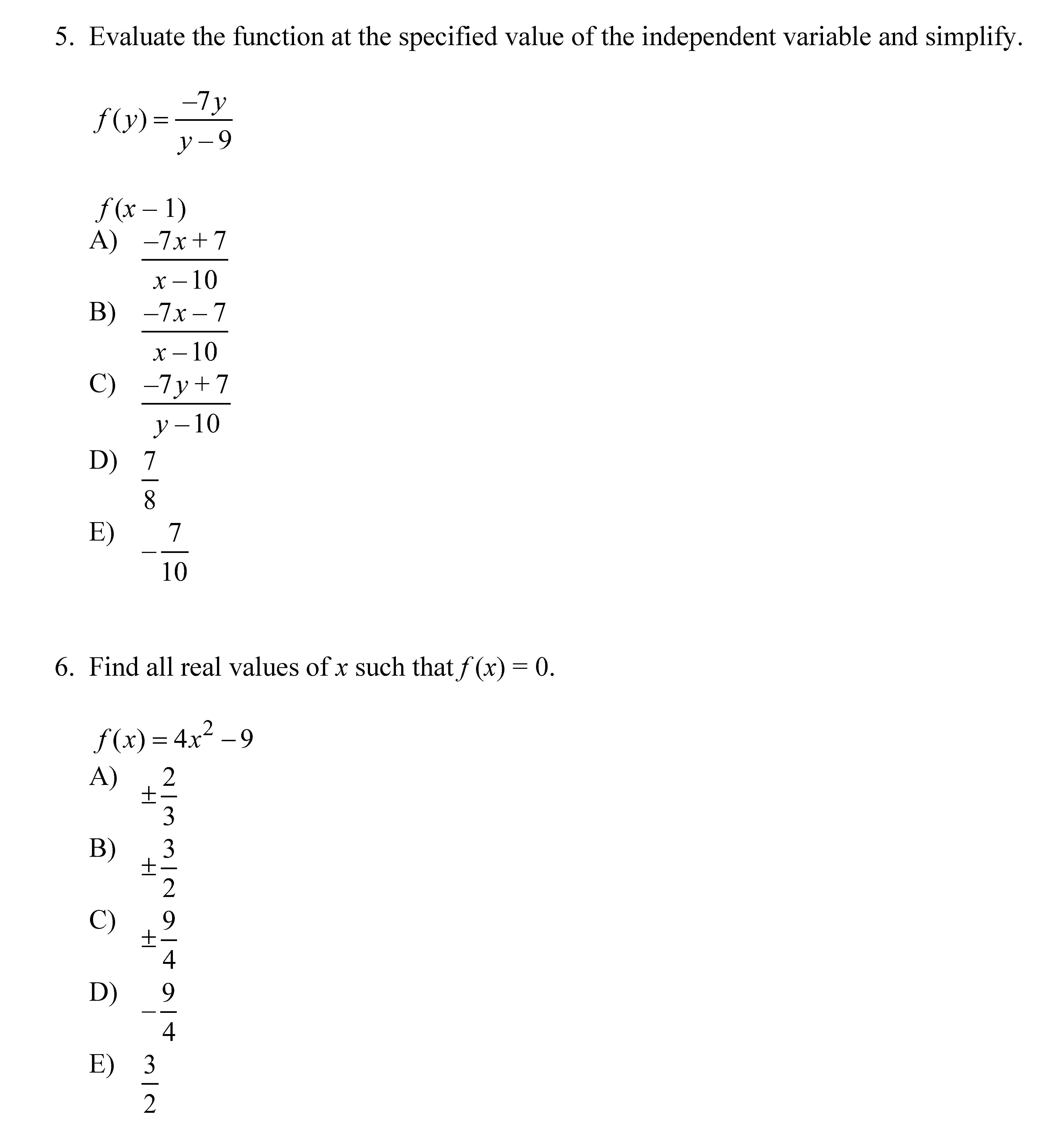
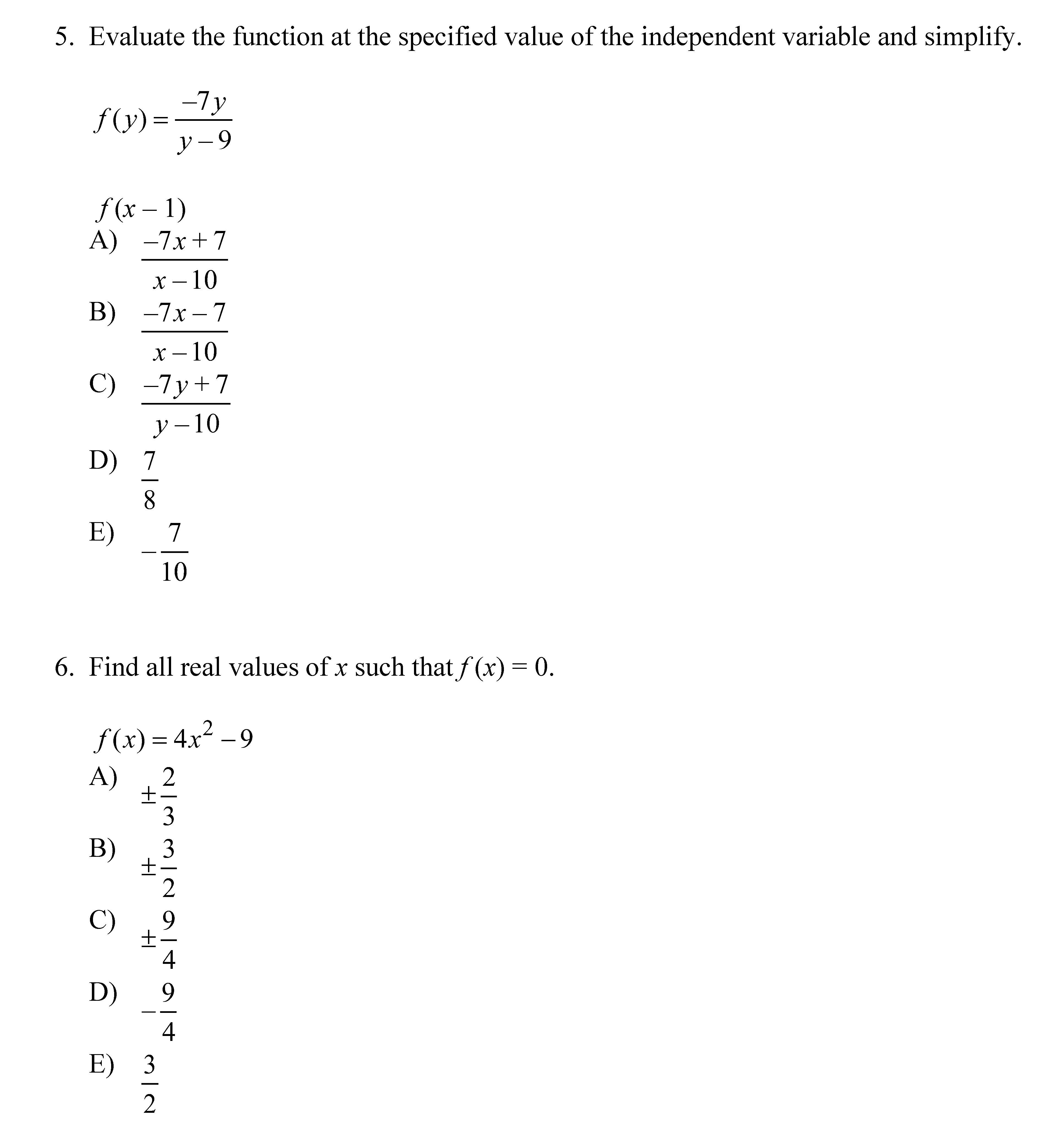
Page 1 1. Does the table describe a function? Input value 30 50 3...
Page 1 1. Does the table describe a function? Input value 30 50 3...