Subjects
Online Tutoring
Homework Help
Homework Library
Tutors
Online Classes
More
Bookstore
Blog
Technical Tips
FAQ
Contact Us
Get Help Now
Home
Homework Library
Mathematics
Pre-Calculus
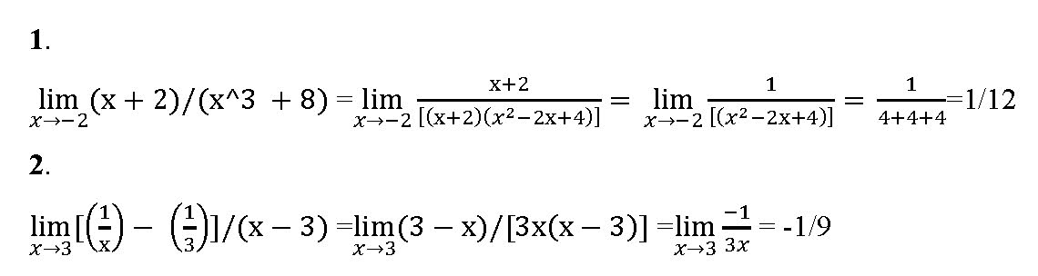
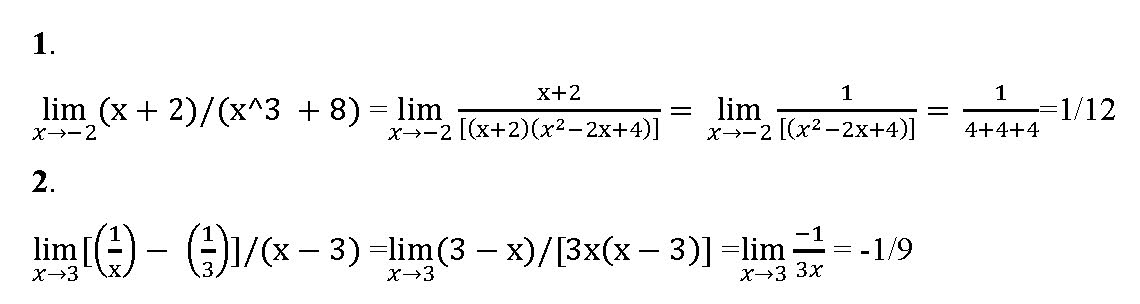
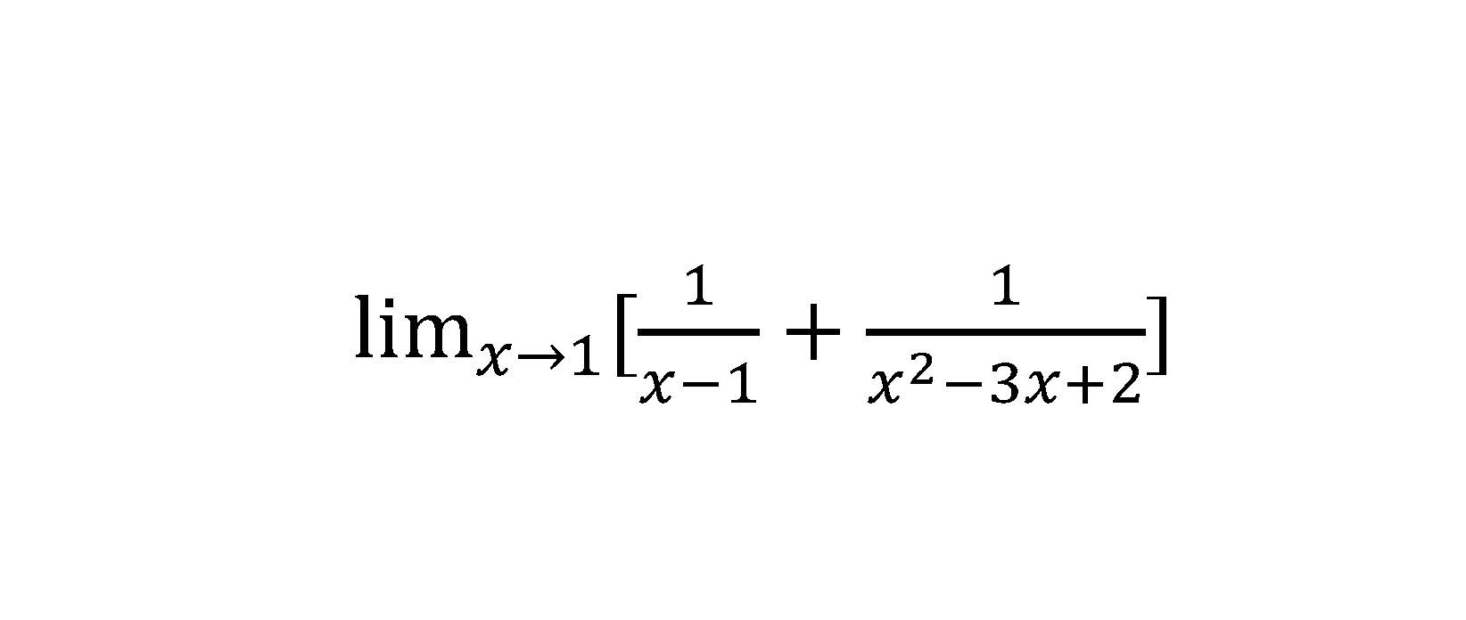
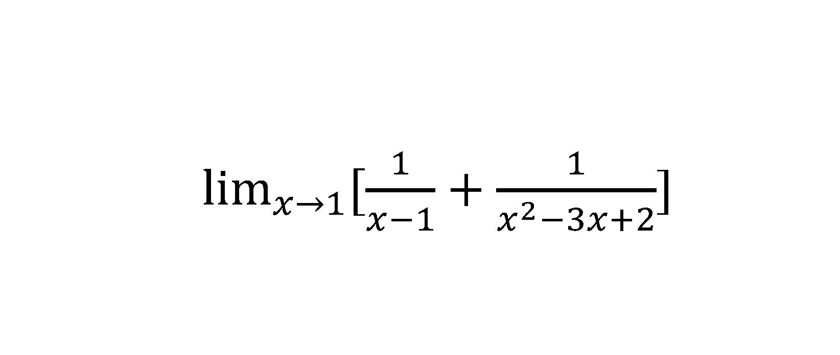
1. limx-2 (x+ 2)/(x³ +8) = 2. lim| € - x-33 3. 4-Vx ...
1. limx-2 (x+ 2)/(x³ +8) = 2. lim| € - x-33 3. 4-Vx lim...