Subjects
Online Tutoring
Homework Help
Homework Library
Tutors
More
Bookstore
Blog
Technical Tips
FAQ
Contact Us
Get Help Now
Home
Homework Library
Mathematics
Pre-Calculus
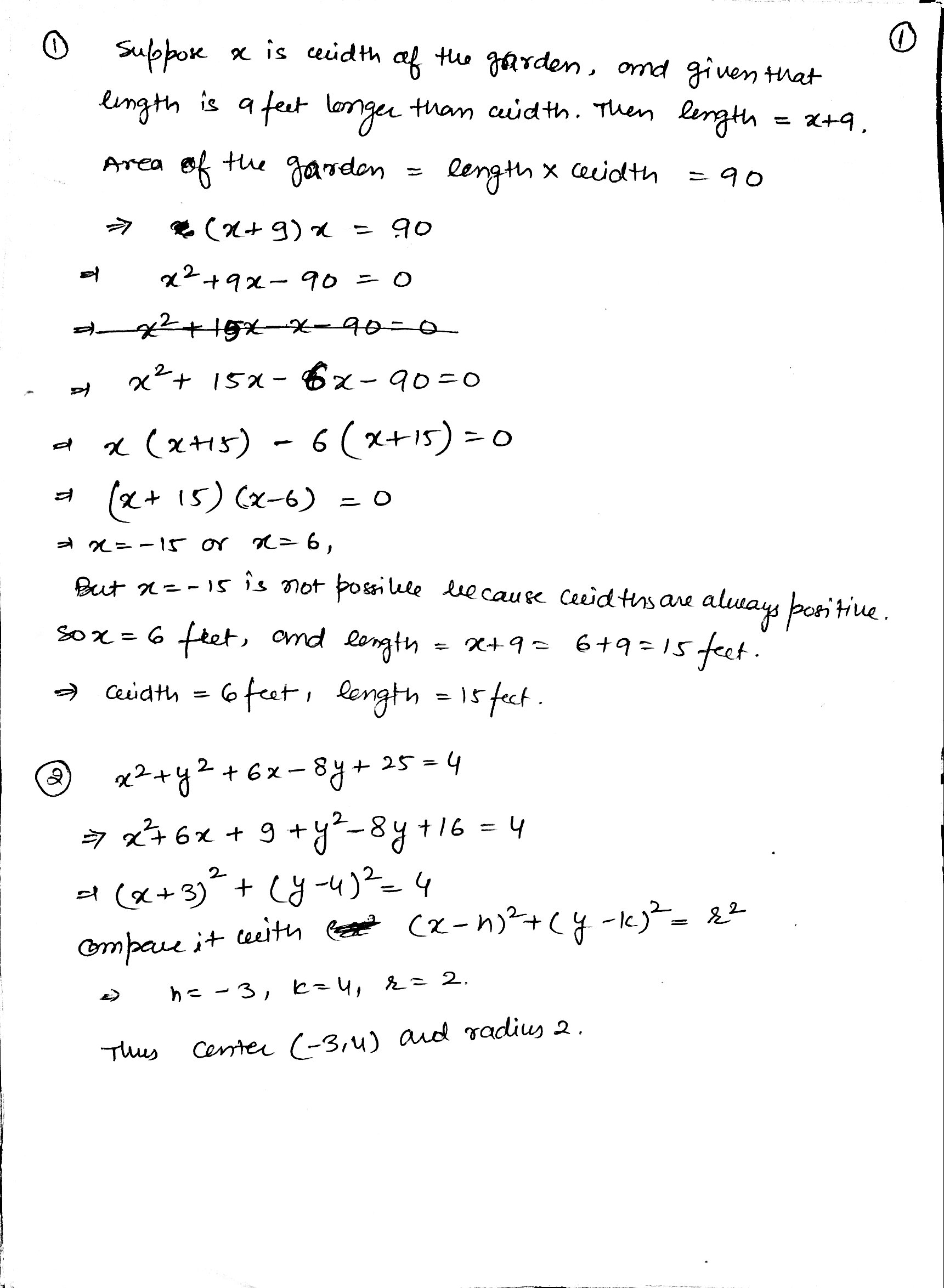
Solve the problem. 1) The length of a vegetable garden is 9 feet l...
Solve the problem. 1) The length of a vegetable garden is 9 feet l...