Subjects
Online Tutoring
Homework Help
Homework Library
Tutors
Online Classes
More
Bookstore
Blog
Technical Tips
FAQ
Contact Us
Get Help Now
Home
Homework Library
Mathematics
Pre-Calculus
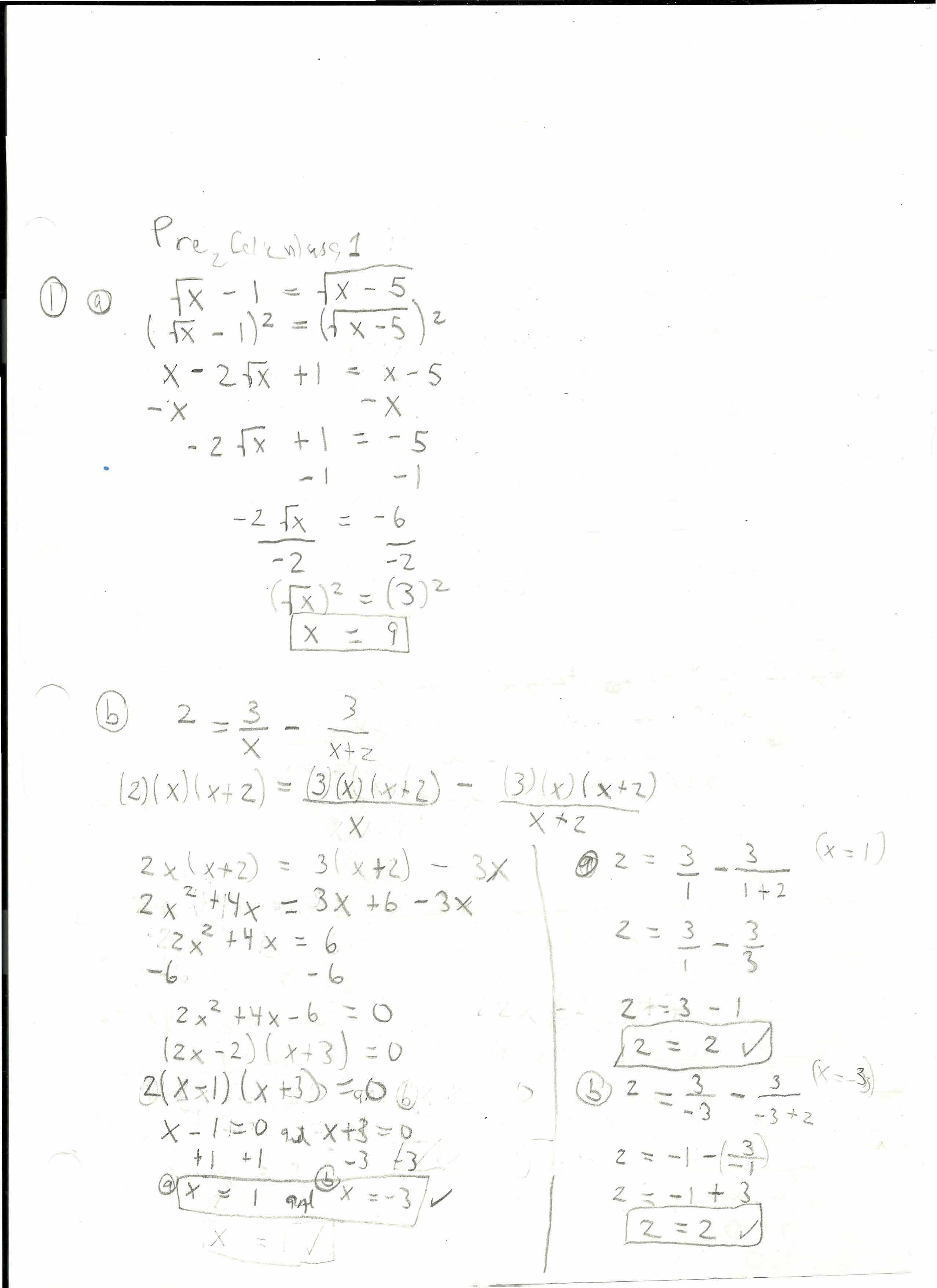
Pre-Calculus Mathematics 1: Instructions: Show ALL work. Unjustifi...
Pre-Calculus Mathematics 1: Instructions: Show ALL work. Unjustifi...