Subjects
Online Tutoring
Homework Help
Homework Library
Tutors
Online Classes
More
Bookstore
Blog
Technical Tips
FAQ
Contact Us
Get Help Now
Home
Homework Library
Mathematics
Pre-Calculus
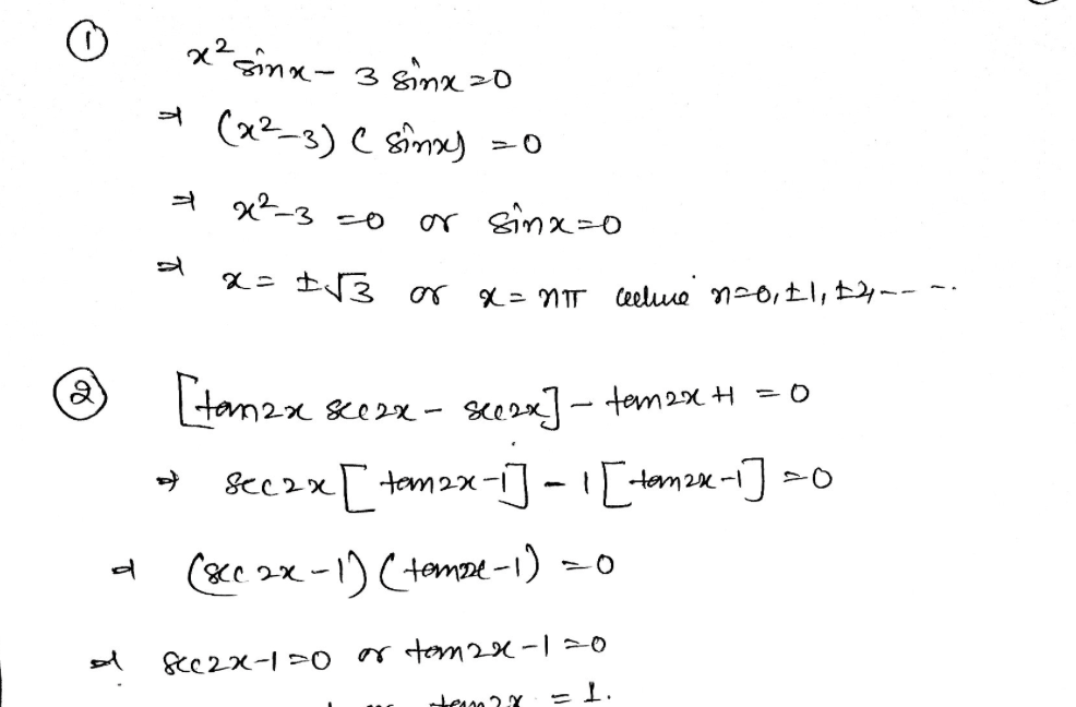
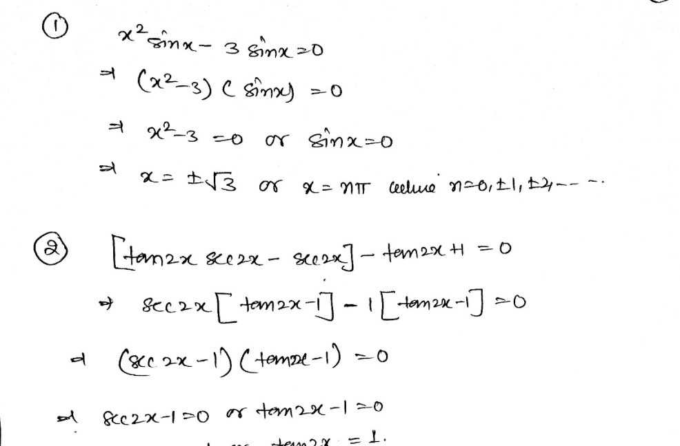
1. Find all solutions to the equation tan (x) - 3=0 2. Consider th...
1. Find all solutions to the equation tan (x) - 3=0 2. Consider th...