Subjects
Online Tutoring
Homework Help
Homework Library
Tutors
Online Classes
More
Bookstore
Blog
Technical Tips
FAQ
Contact Us
Get Help Now
Home
Homework Library
Mathematics
Pre-Calculus
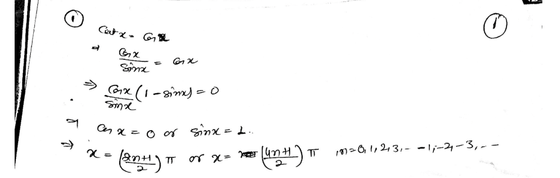
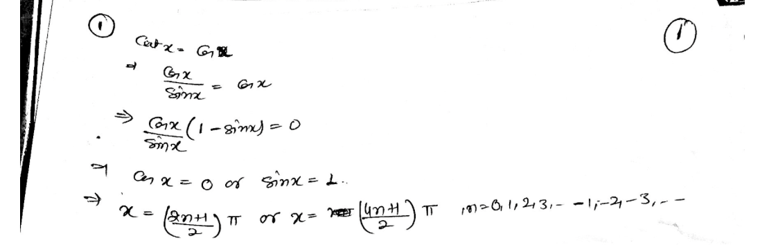
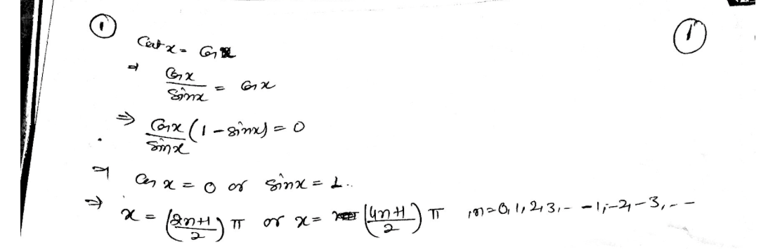
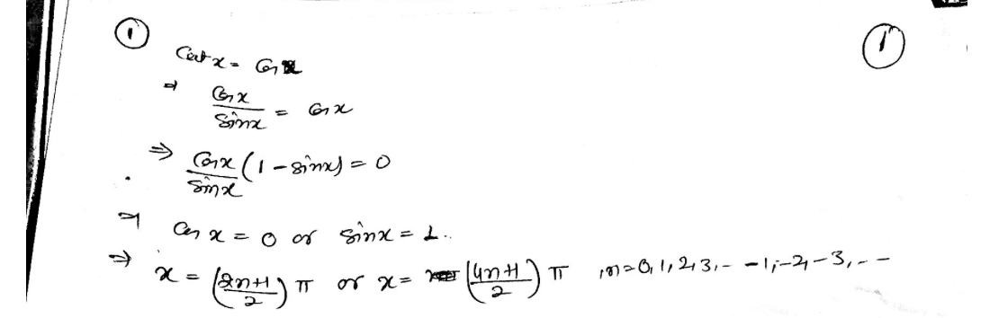
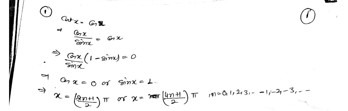
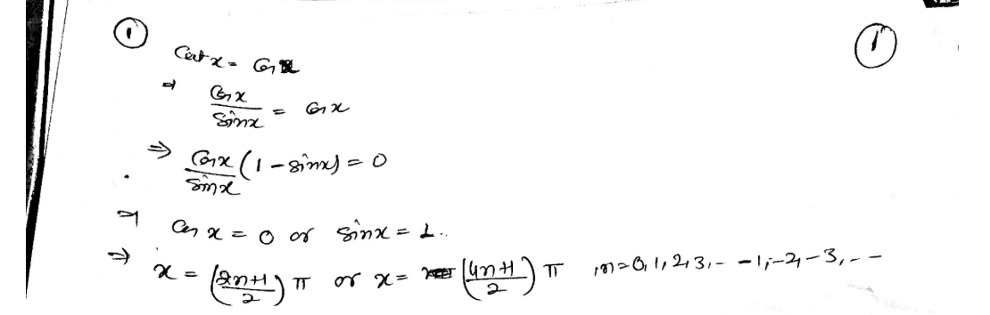
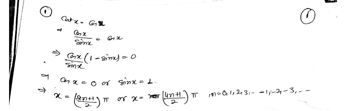
1. Find all solutions to the equation cot (x)=cos(x). - 2. Find a...
1. Find all solutions to the equation cot (x)=cos(x). - 2. Find a...