Subjects
Online Tutoring
Homework Help
Homework Library
Tutors
Online Classes
More
Bookstore
Blog
Technical Tips
FAQ
Contact Us
Get Help Now
Home
Homework Library
Mathematics
Pre-Calculus
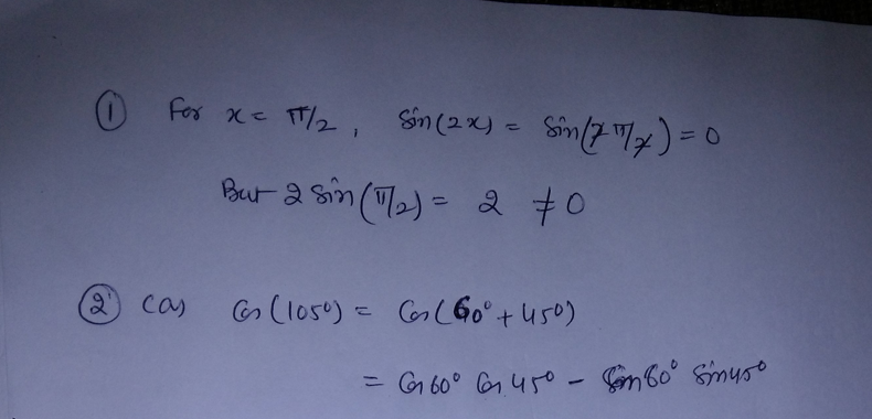
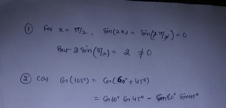
1. Show that sin (2x) =2sin (x) is not an identity. 2. Find the ex...
1. Show that sin (2x) =2sin (x) is not an identity. 2. Find the ex...