Subjects
Online Tutoring
Homework Help
Homework Library
Tutors
Online Classes
More
Bookstore
Blog
Technical Tips
FAQ
Contact Us
Get Help Now
Home
Homework Library
Mathematics
Pre-Calculus
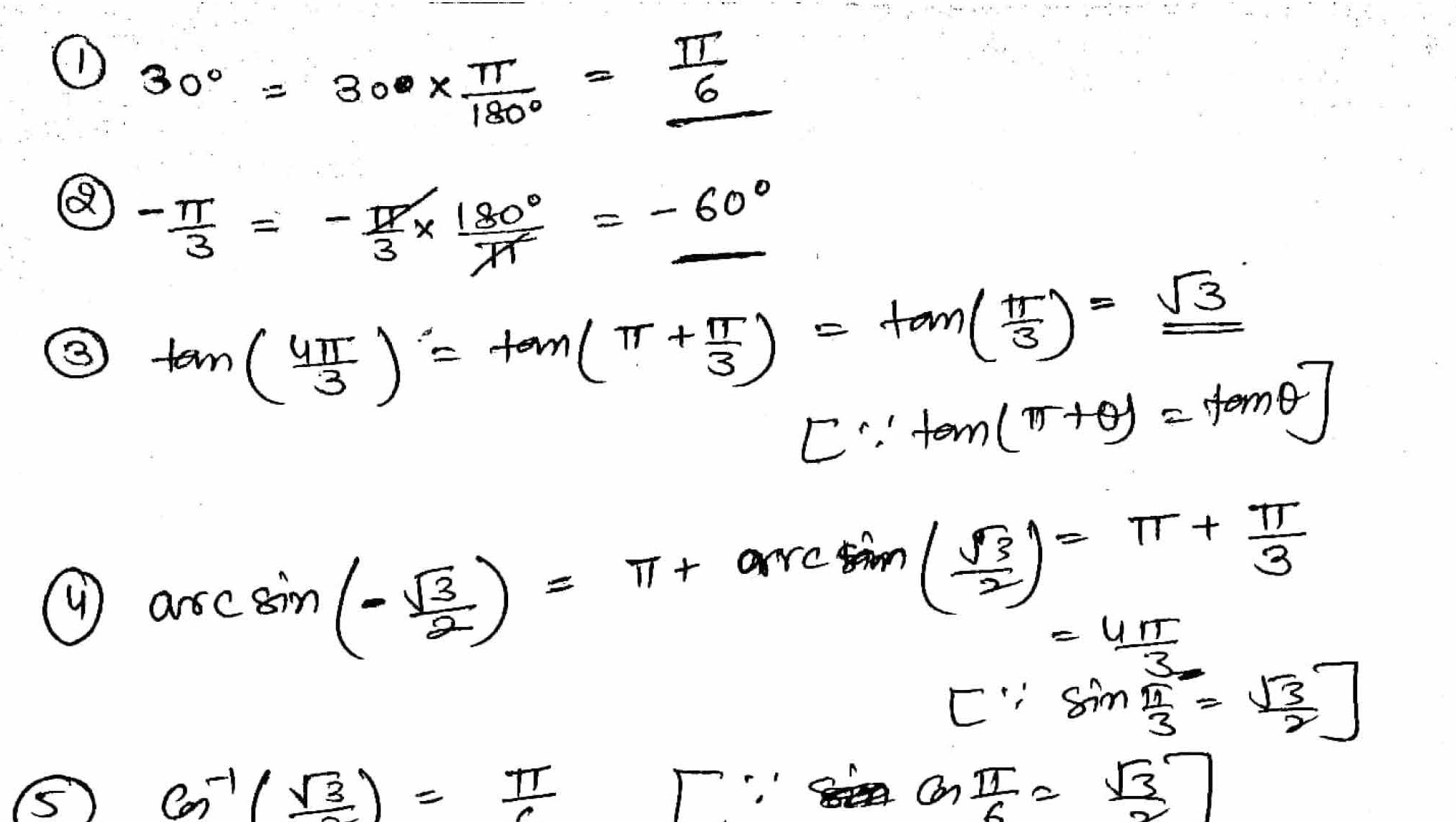
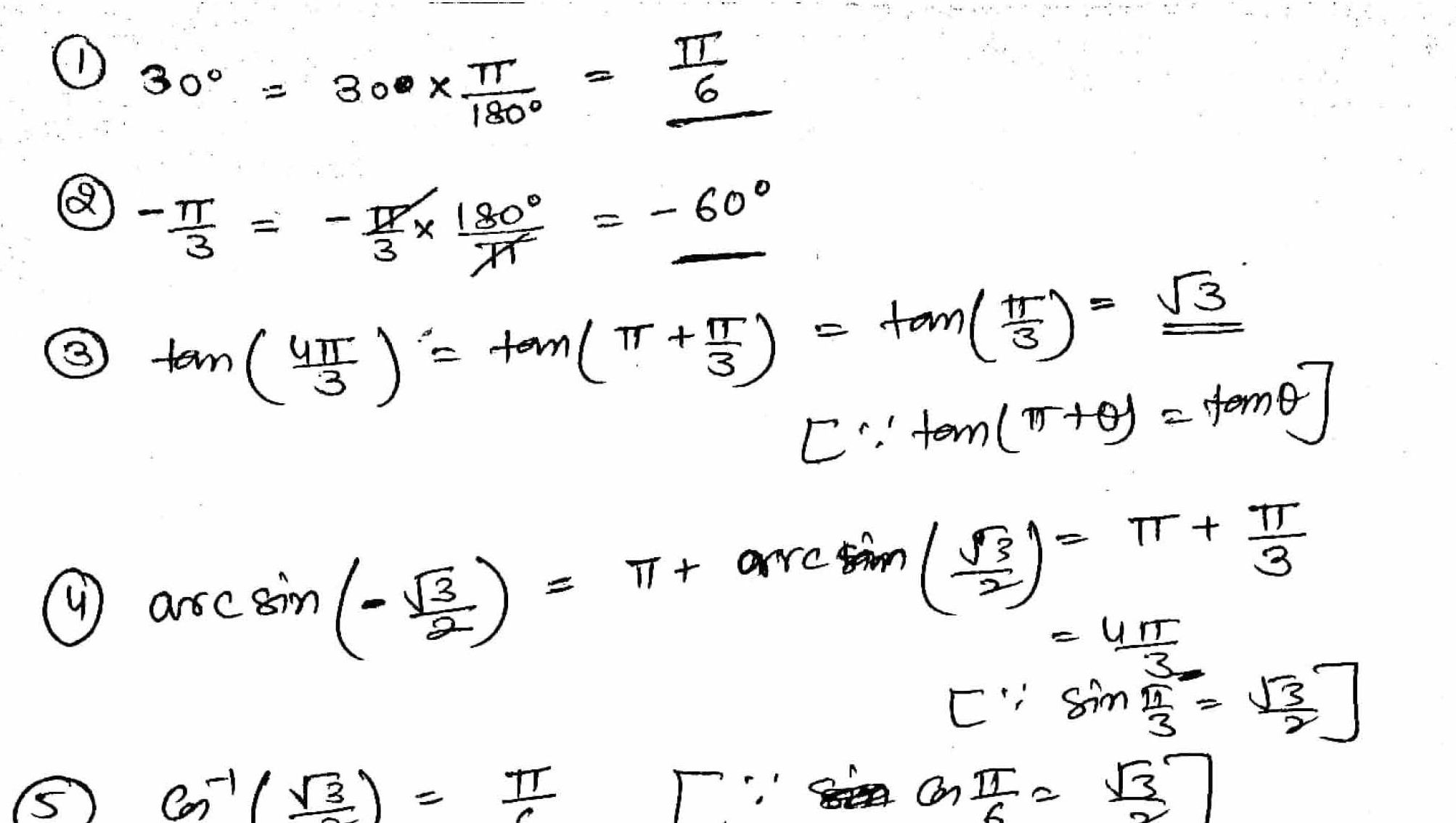
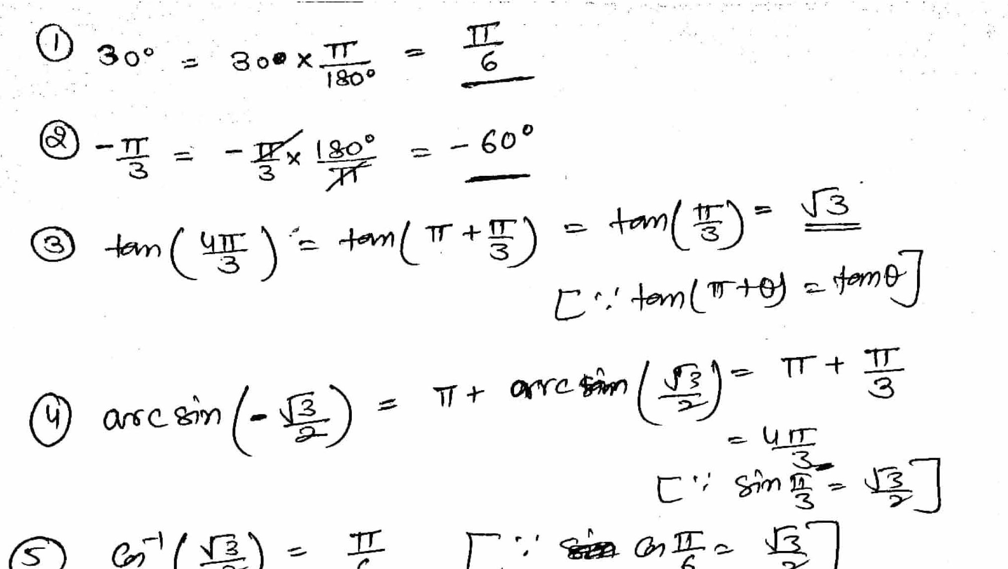
This part of the exam should be completed without a calculator. Rem...
This part of the exam should be completed without a calculator. Rem...