Subjects
Online Tutoring
Homework Help
Homework Library
Tutors
Online Classes
More
Bookstore
Blog
Technical Tips
FAQ
Contact Us
Get Help Now
Home
Homework Library
Mathematics
Pre-Calculus
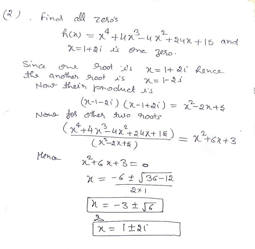
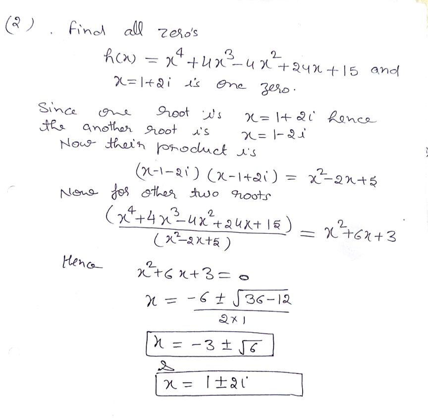
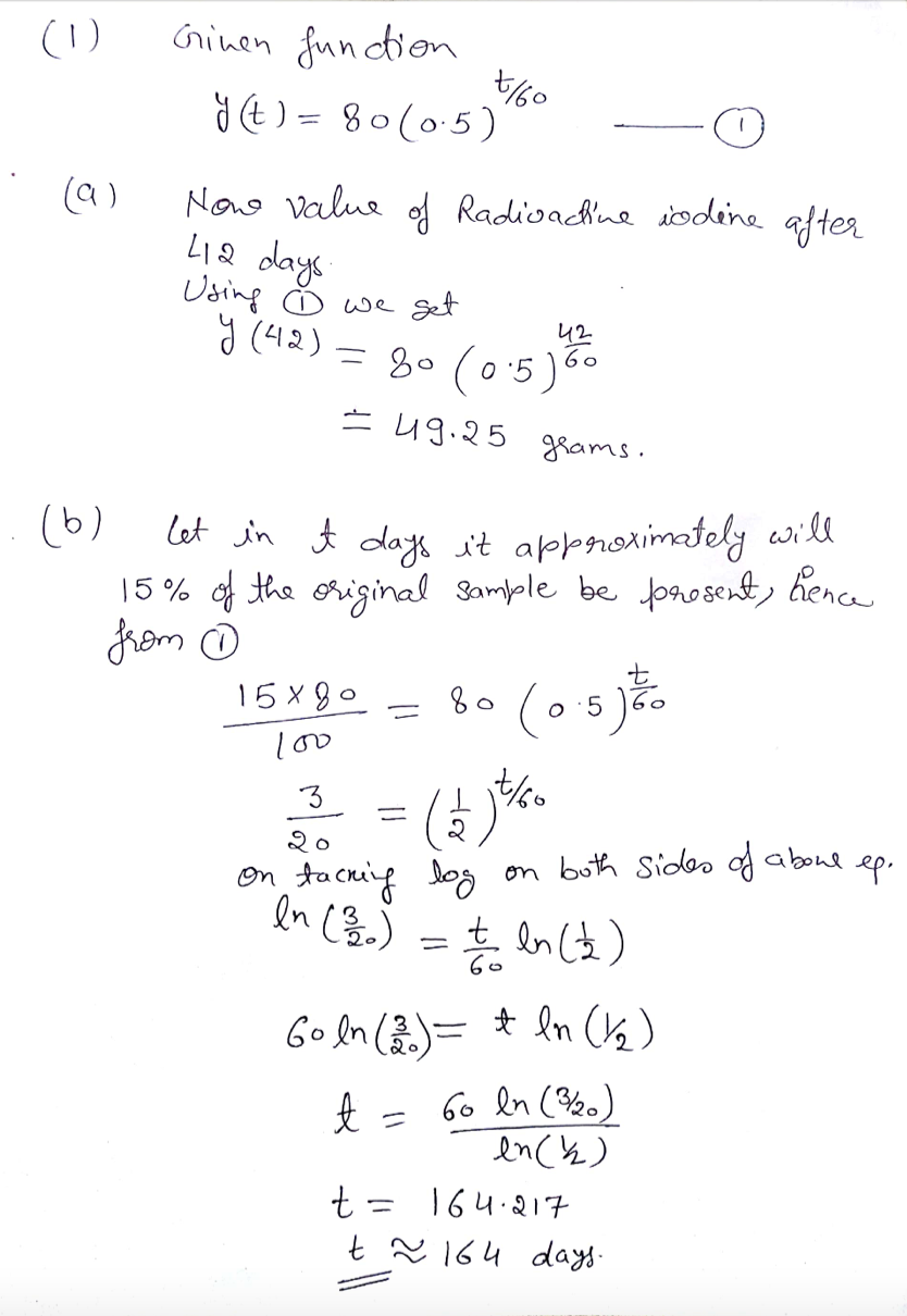
1) Radioactive iodine has a half-life of 60 days. A given sample of...
1) Radioactive iodine has a half-life of 60 days. A given sample of...