Subjects
Online Tutoring
Homework Help
Homework Library
Tutors
Online Classes
More
Bookstore
Blog
Technical Tips
FAQ
Contact Us
Get Help Now
Home
Homework Library
Mathematics
Pre-Calculus
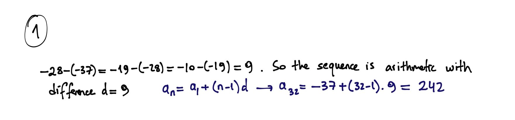
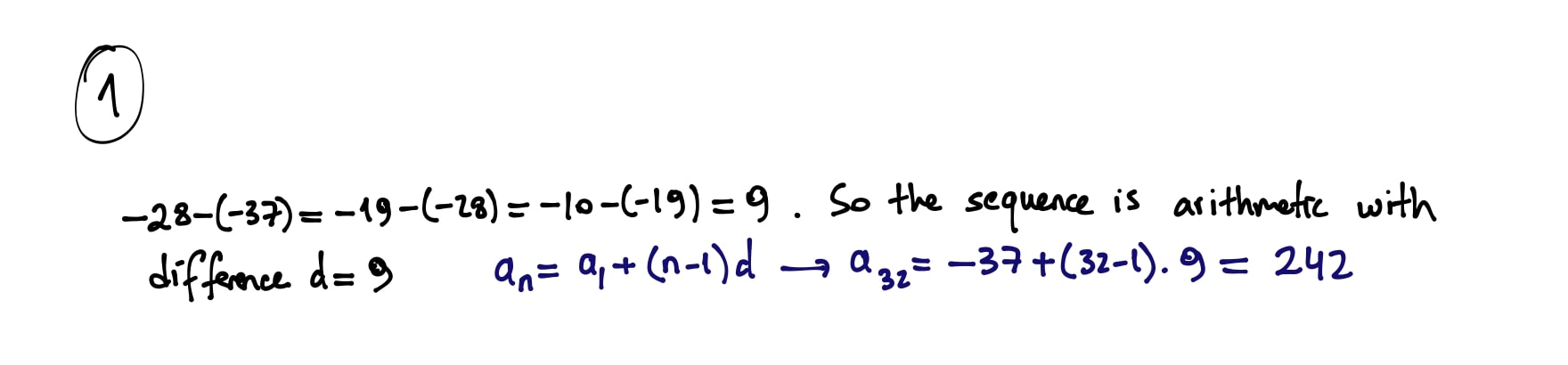
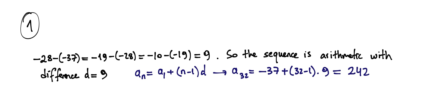
Determine if the sequence is arithmetic. If it is, find the common ...
Determine if the sequence is arithmetic. If it is, find the common...