Subjects
Online Tutoring
Homework Help
Homework Library
Tutors
Online Classes
More
Bookstore
Blog
Technical Tips
FAQ
Contact Us
Get Help Now
Home
Homework Library
Mathematics
Pre-Calculus
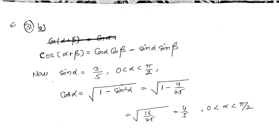
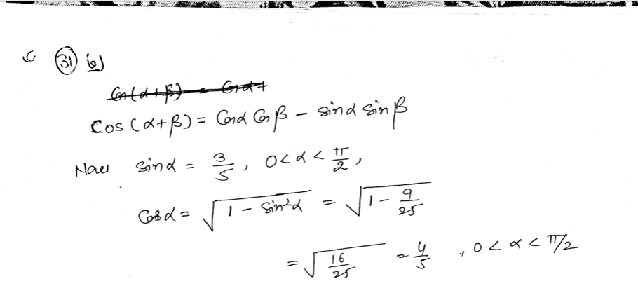
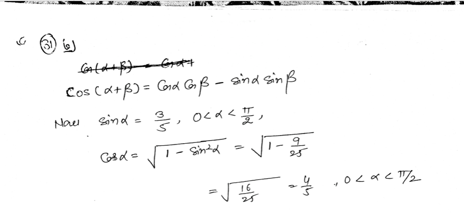
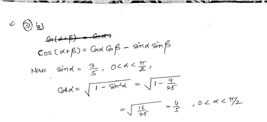
In Problems 31-36, find the exact value of each of the following un...
In Problems 31-36, find the exact value of each of the following un...