Subjects
Online Tutoring
Homework Help
Homework Library
Tutors
Online Classes
More
Bookstore
Blog
Technical Tips
FAQ
Contact Us
Get Help Now
Home
Homework Library
Mathematics
Pre-Calculus
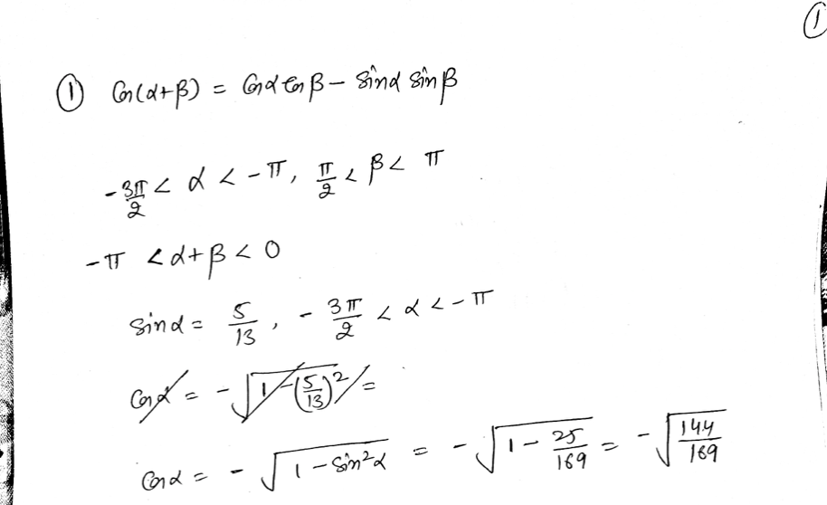
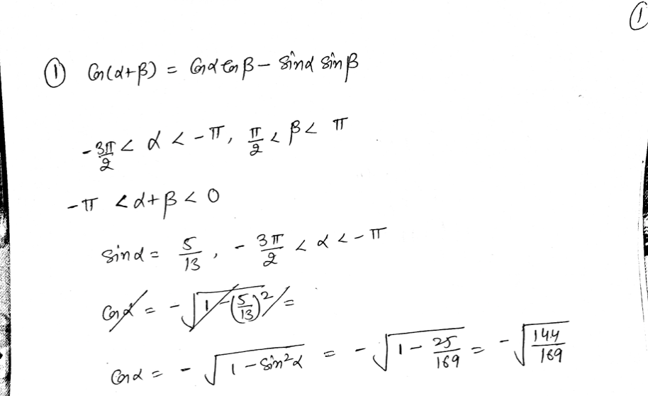
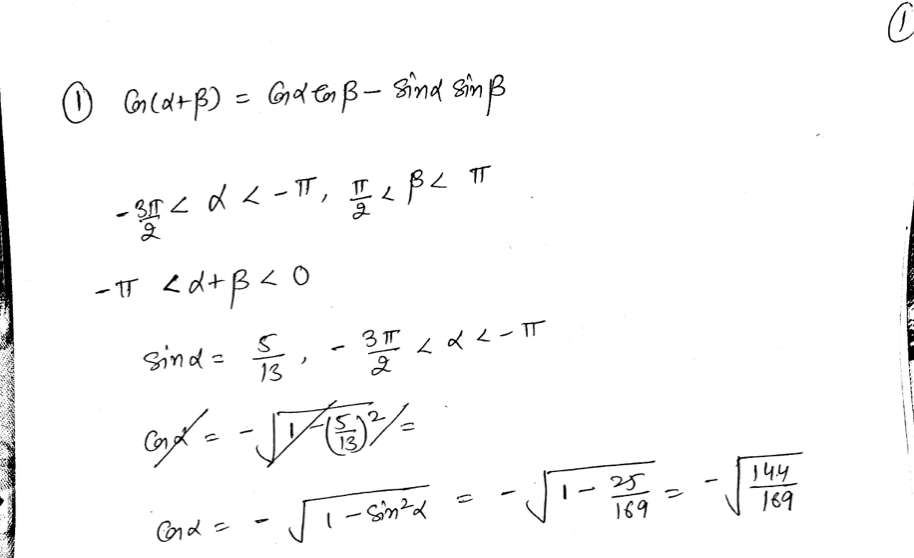
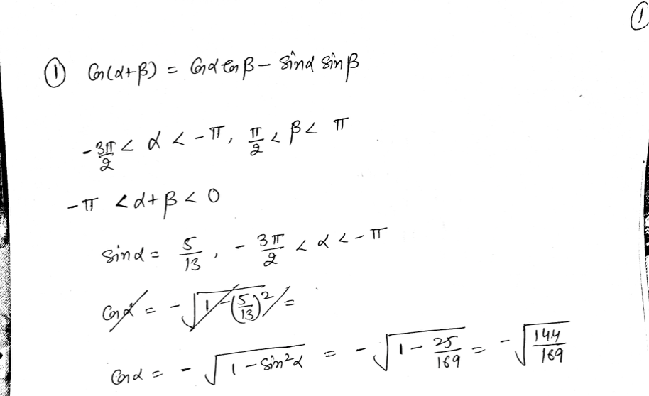
3. Solve each equation on the internal 0 < 0 < 2 IT sin (30) ...
3. Solve each equation on the internal 0 < 0 < 2 IT sin (30)...