Subjects
Online Tutoring
Homework Help
Homework Library
Tutors
Online Classes
More
Bookstore
Blog
Technical Tips
FAQ
Contact Us
Get Help Now
Home
Homework Library
Mathematics
Pre-Calculus
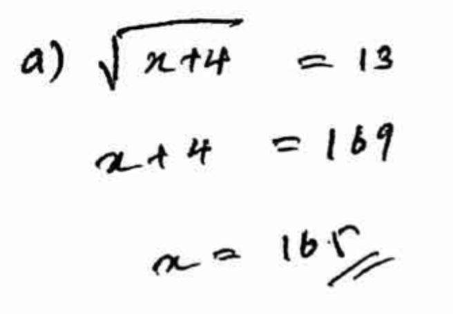
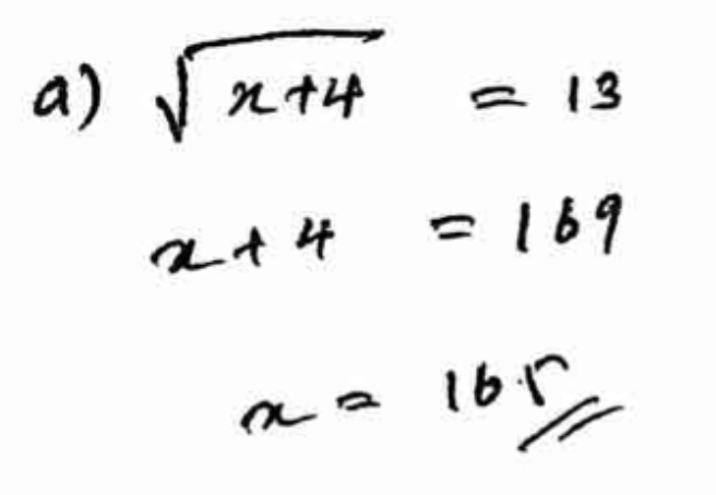
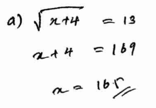
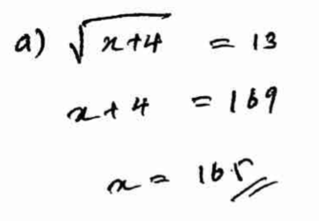
Solve the following radical equations: a) Vx+4=13 = b) 6 - 2 3x =...
Solve the following radical equations: a) Vx+4=13 = b) 6 - 2 3x =...