Subjects
Online Tutoring
Homework Help
Homework Library
Tutors
More
Bookstore
Blog
Technical Tips
FAQ
Contact Us
Get Help Now
Home
Homework Library
Mathematics
Pre-Calculus
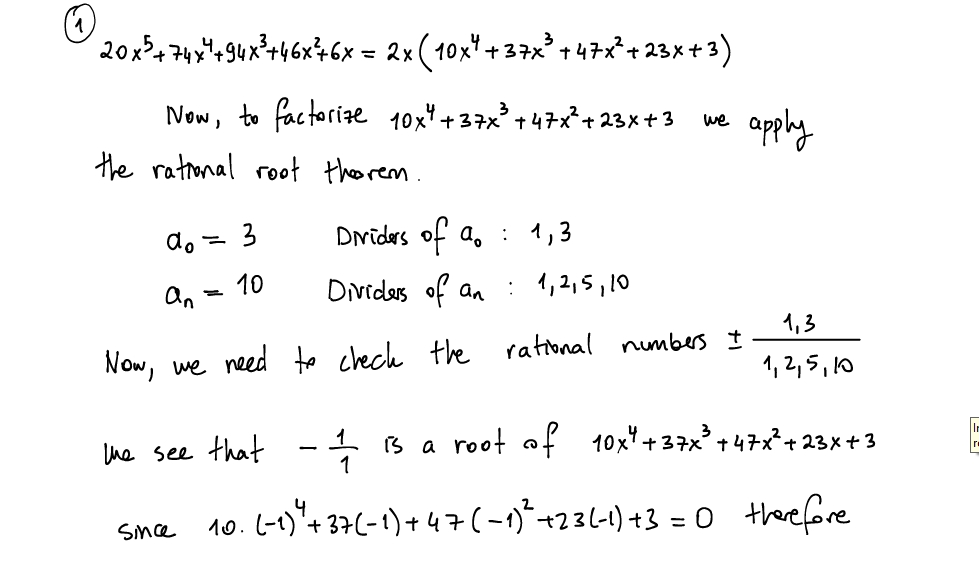
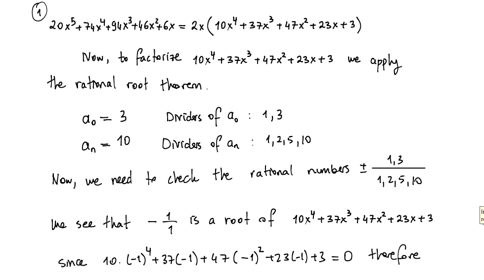
Make sure that you show ALL of your work. For all of the following...
Make sure that you show ALL of your work. For all of the following...