Subjects
Online Tutoring
Homework Help
Homework Library
Tutors
More
Bookstore
Blog
Technical Tips
FAQ
Contact Us
Get Help Now
Home
Homework Library
Mathematics
Pre-Calculus
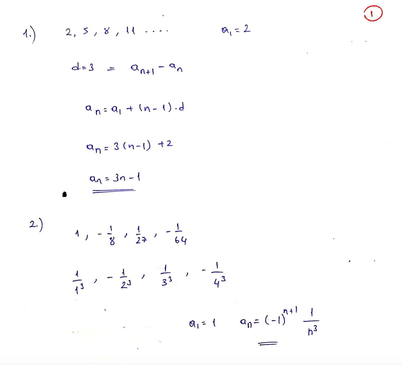
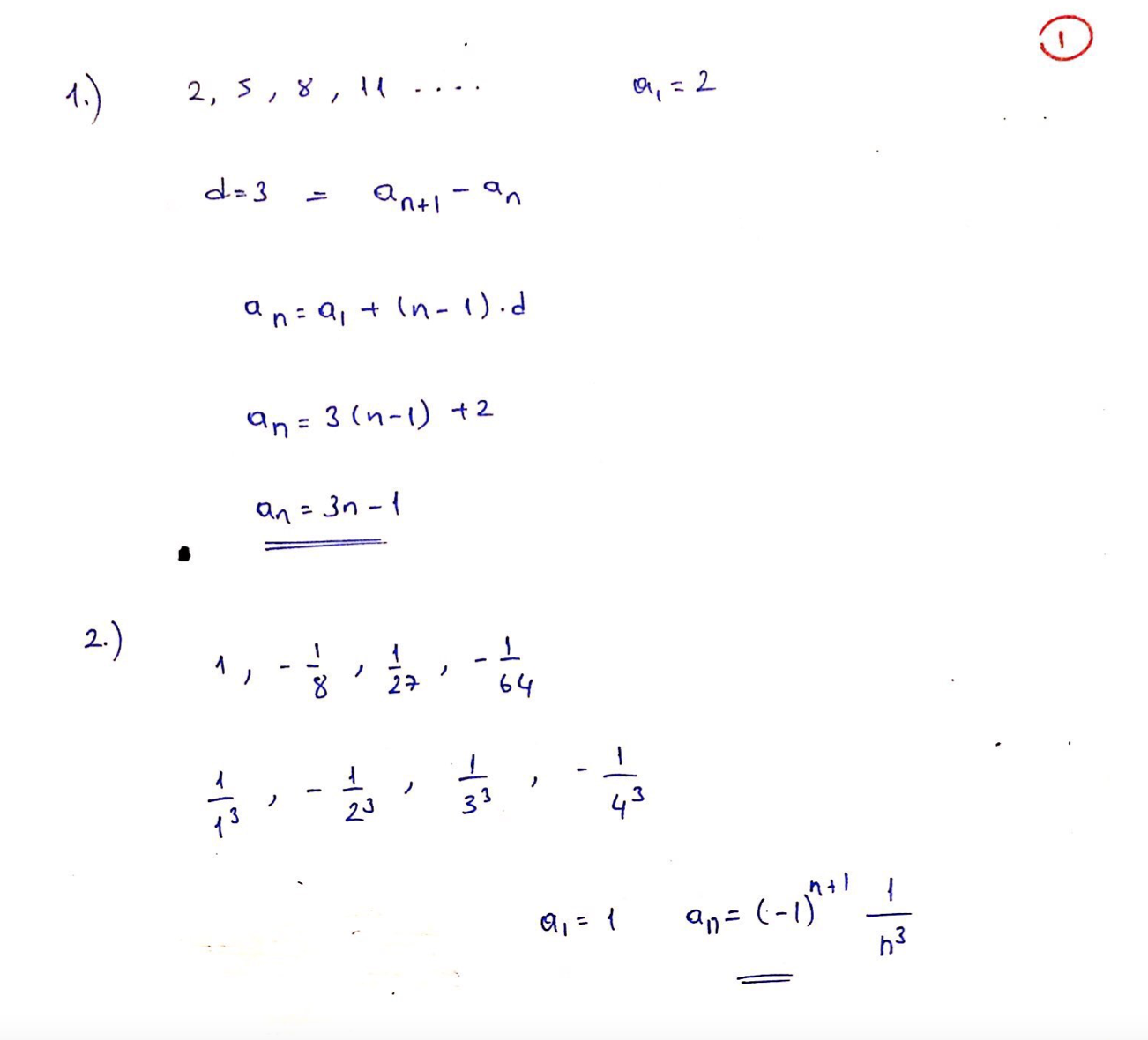
Write a formula for the nth term of each infinite sequence. Do not ...
Write a formula for the nth term of each infinite sequence. Do not...