Subjects
Online Tutoring
Homework Help
Homework Library
Tutors
Online Classes
More
Bookstore
Blog
Technical Tips
FAQ
Contact Us
Get Help Now
Home
Homework Library
Mathematics
Pre-Calculus
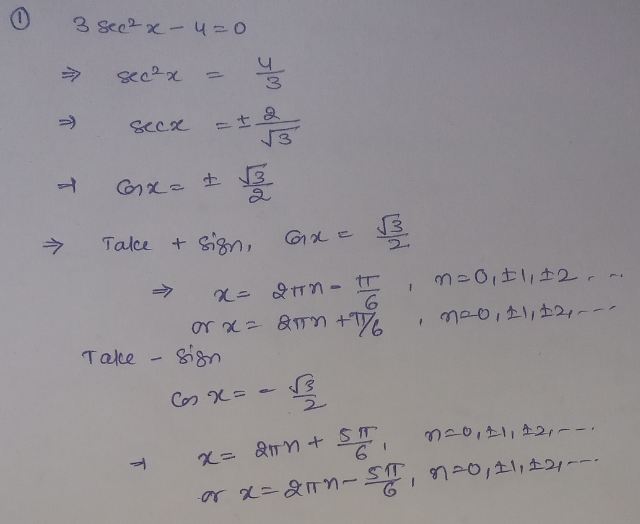
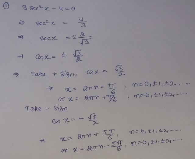
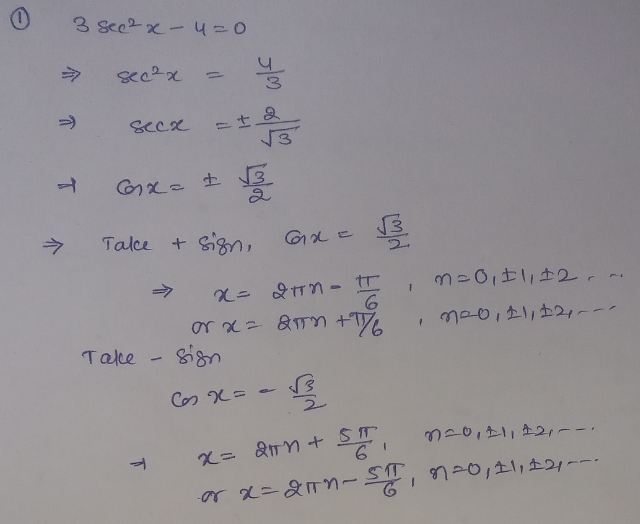
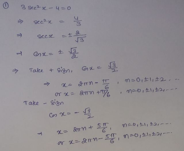
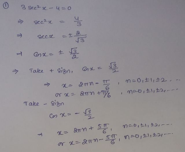
Solve the following equations: 1. 3sec2x - 4 = 0 2. 2sin4x - sin2...
Solve the following equations: 1. 3sec2x - 4 = 0 2. 2sin4x - sin2...