Subjects
Online Tutoring
Homework Help
Homework Library
Tutors
Online Classes
More
Bookstore
Blog
Technical Tips
FAQ
Contact Us
Get Help Now
Home
Homework Library
Mathematics
Pre-Calculus
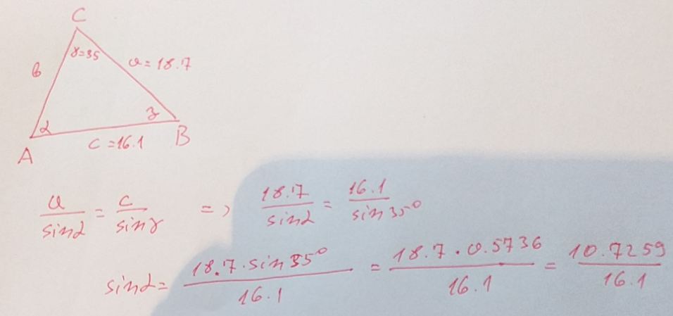
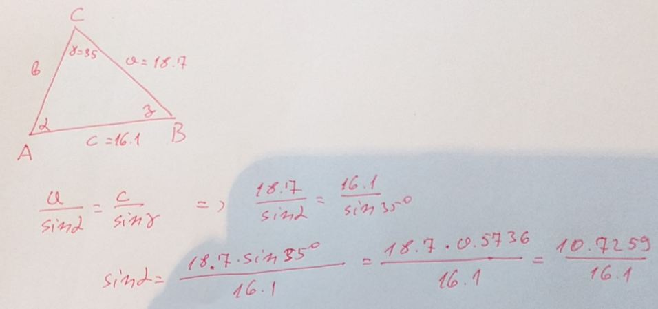
Two sides and an angle opposite a side are given. Use the Law of Si...
Two sides and an angle opposite a side are given. Use the Law of Si...