Subjects
Online Tutoring
Homework Help
Homework Library
Tutors
Online Classes
More
Bookstore
Blog
Technical Tips
FAQ
Contact Us
Get Help Now
Home
Homework Library
Mathematics
Pre-Calculus
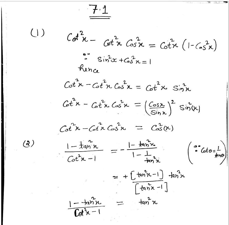
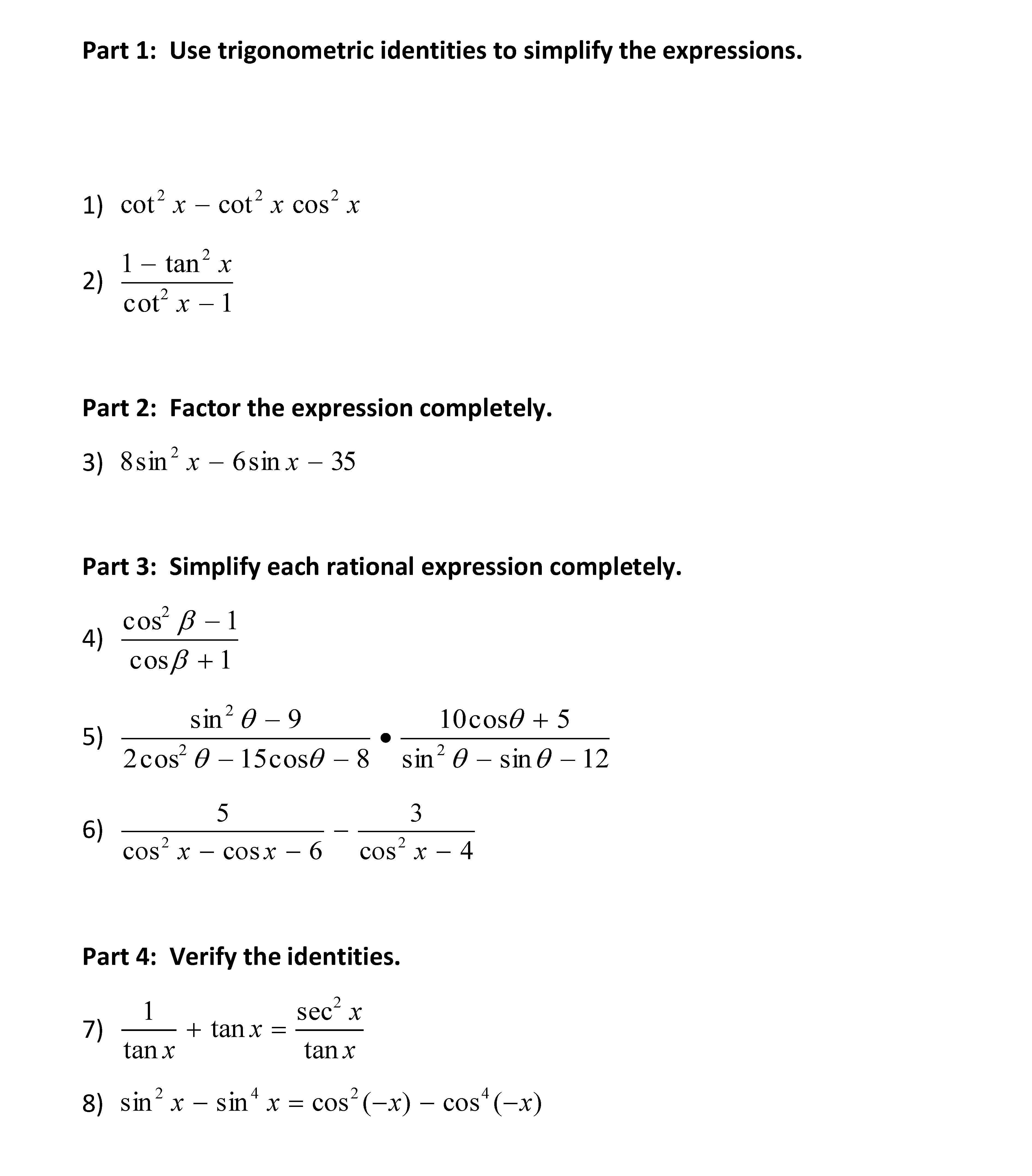
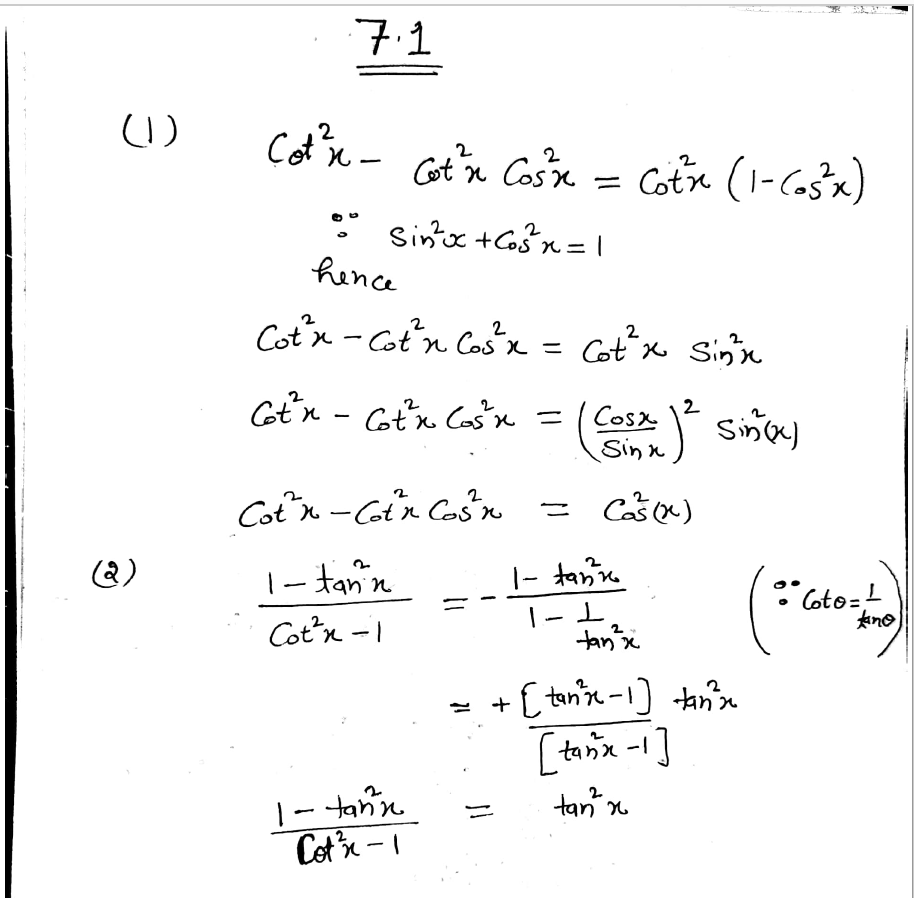
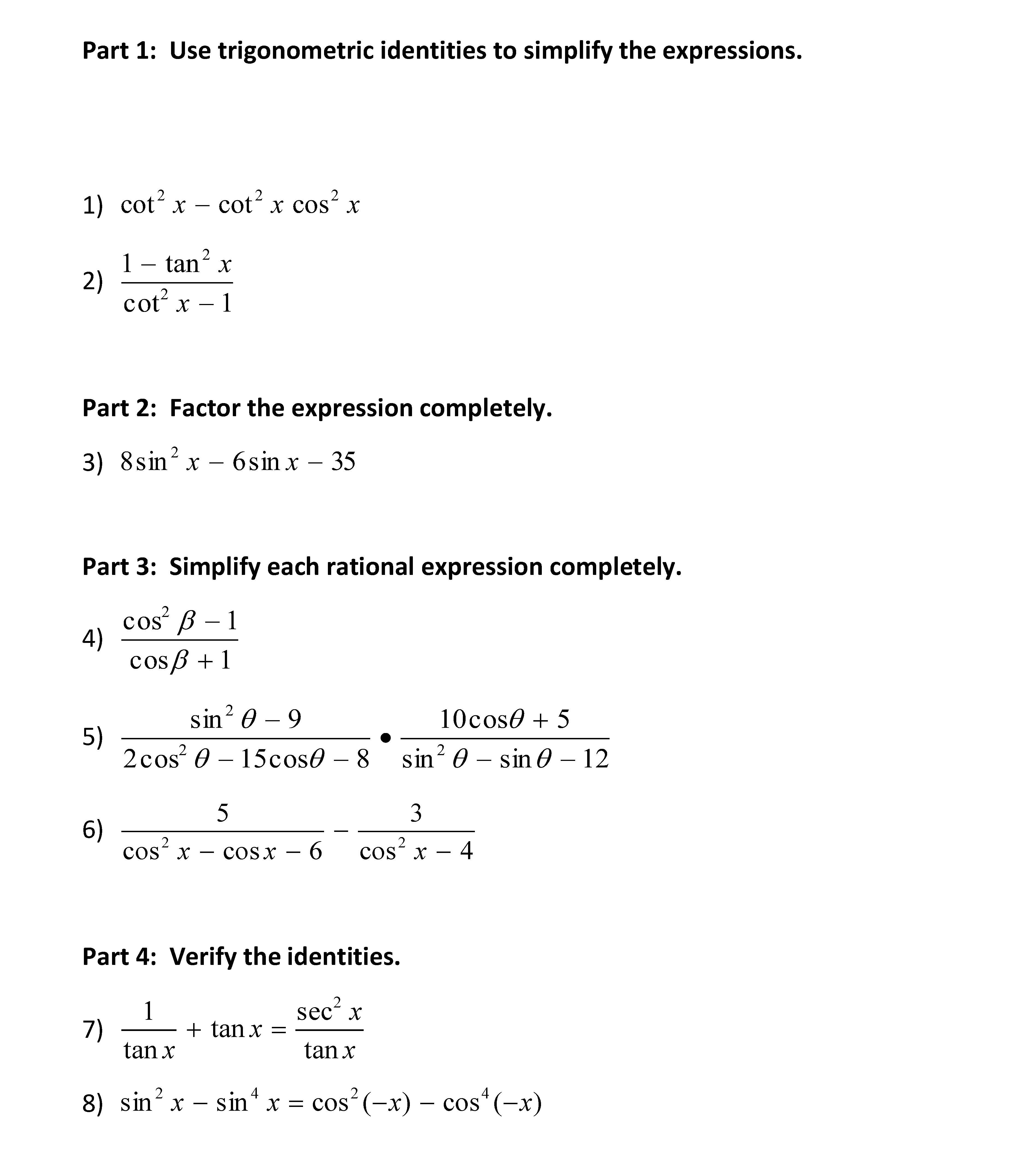
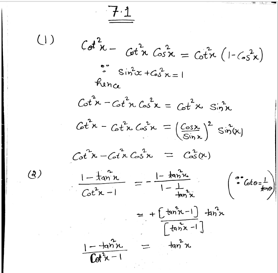
Part 1: Use trigonometric identities to simplify the expressions. ...
Part 1: Use trigonometric identities to simplify the expressions....