Subjects
Online Tutoring
Homework Help
Homework Library
Tutors
Online Classes
More
Bookstore
Blog
Technical Tips
FAQ
Contact Us
Get Help Now
Home
Homework Library
Mathematics
Pre-Calculus
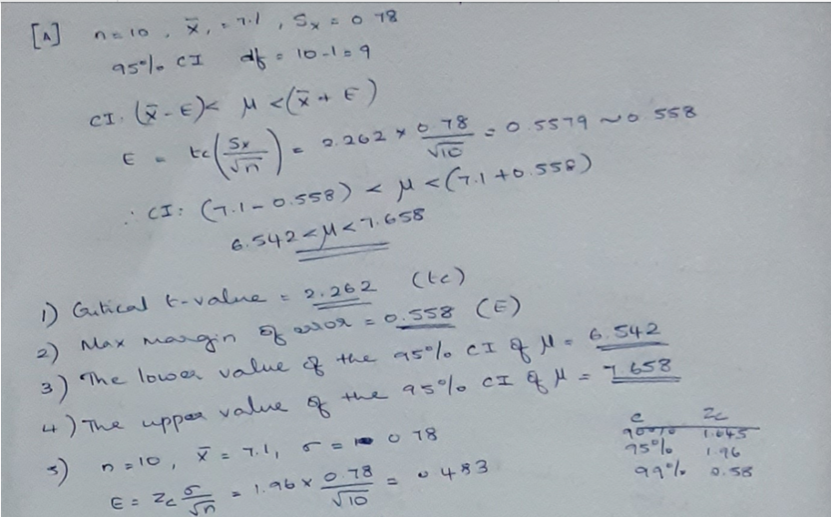
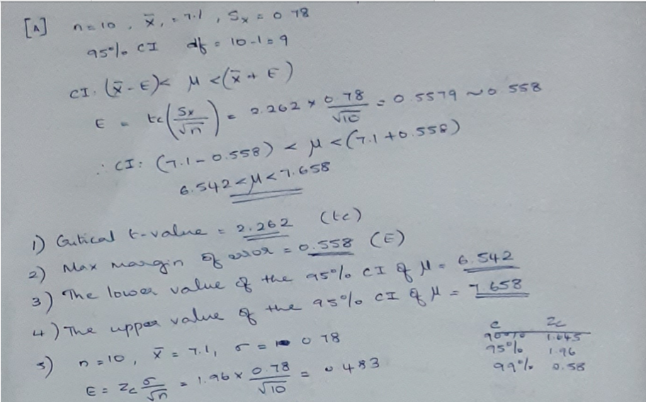
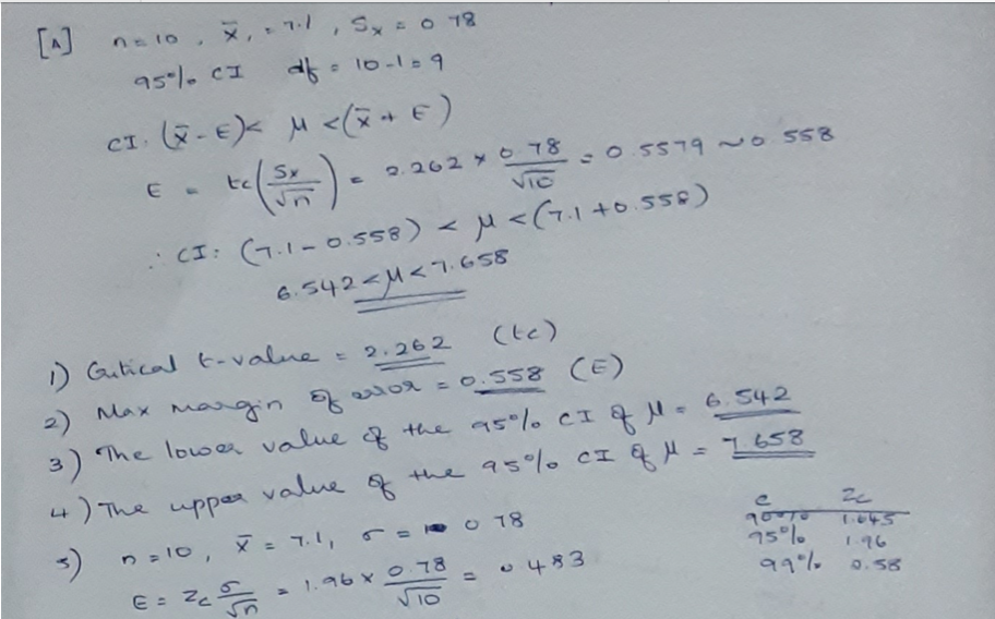
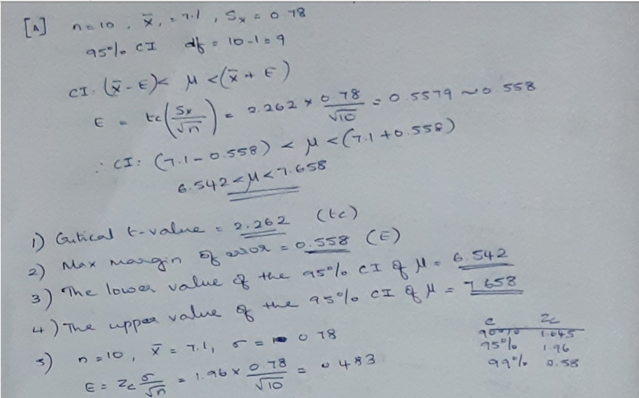
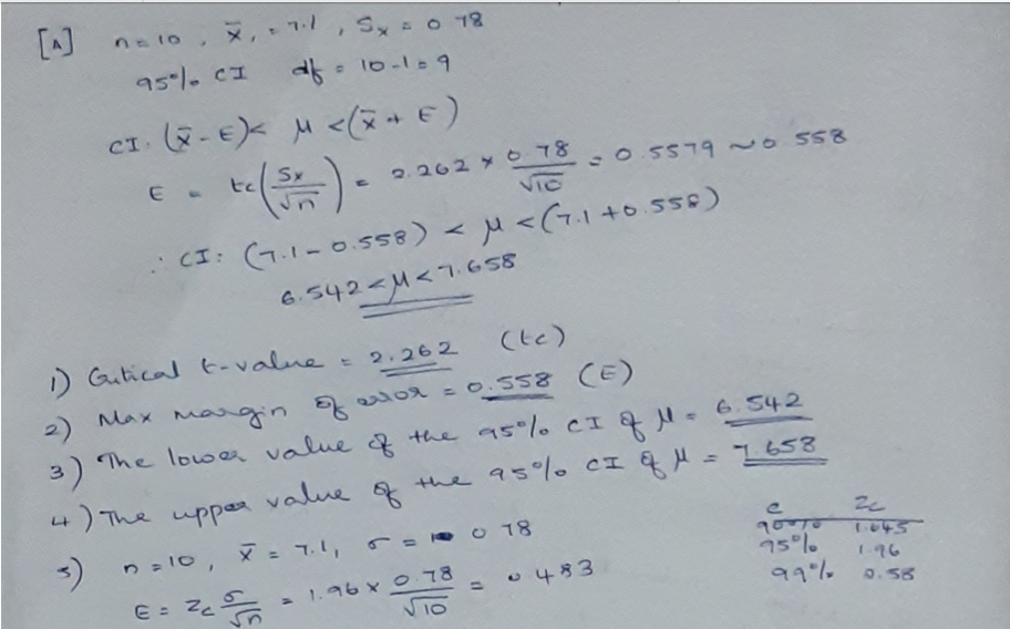
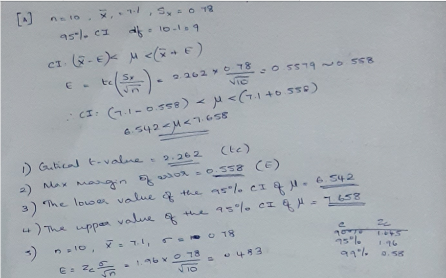
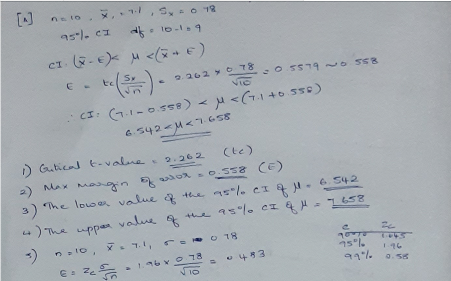
[A] In a research of waiting time of a phone call in a company, a r...
[A] In a research of waiting time of a phone call in a company, a r...