Subjects
Online Tutoring
Homework Help
Homework Library
Tutors
Online Classes
More
Bookstore
Blog
Technical Tips
FAQ
Contact Us
Get Help Now
Home
Homework Library
Mathematics
Pre-Calculus
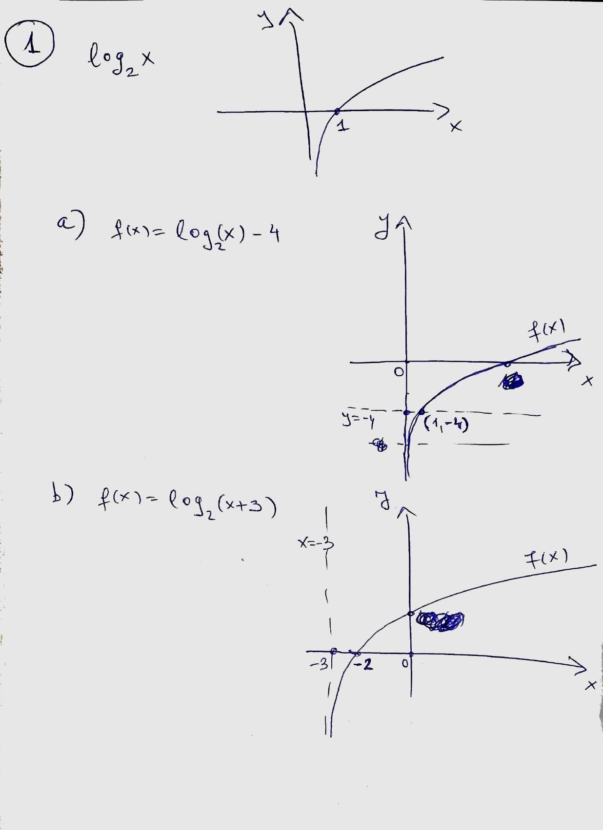
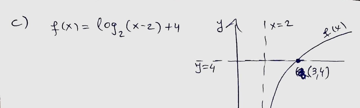
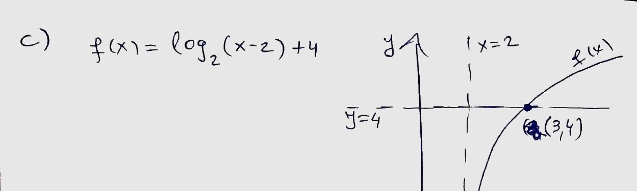
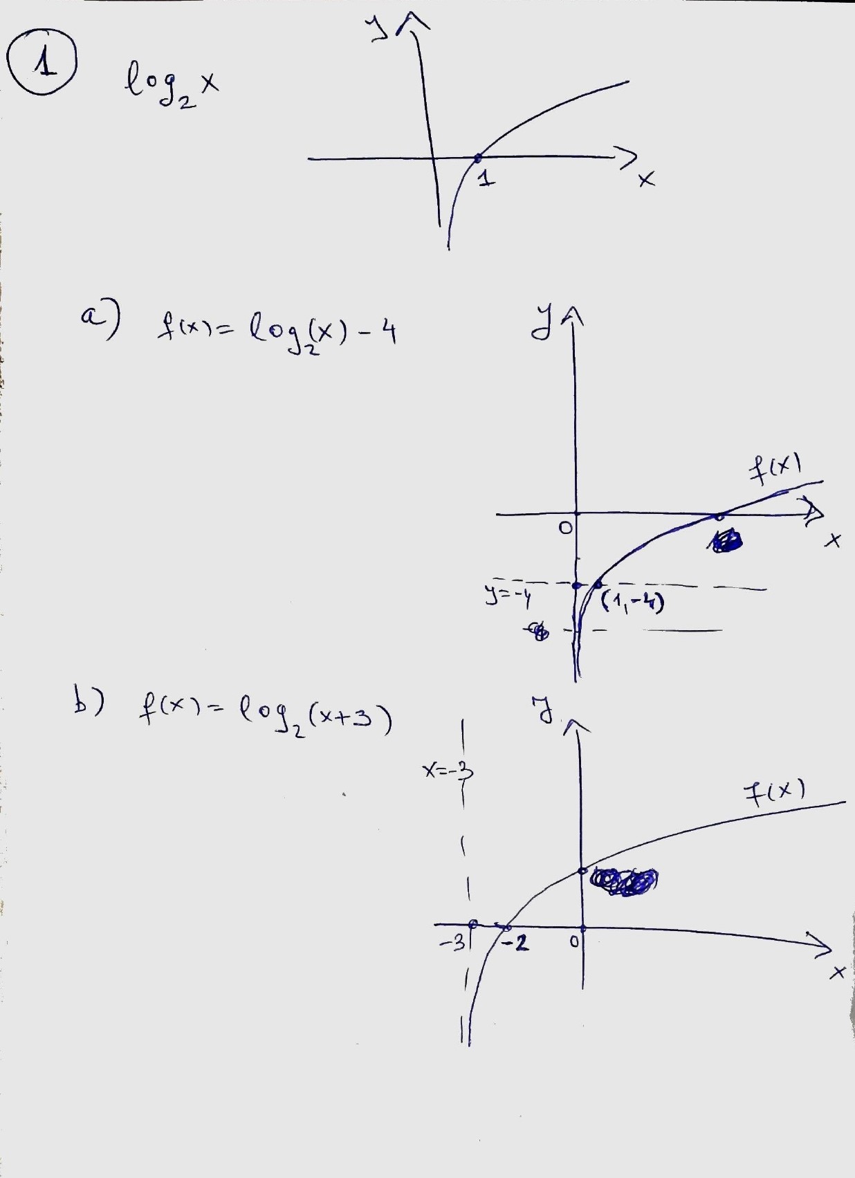
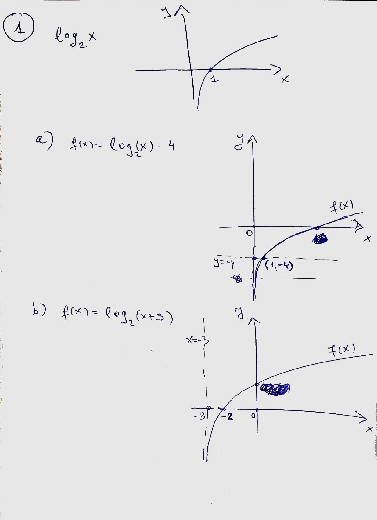
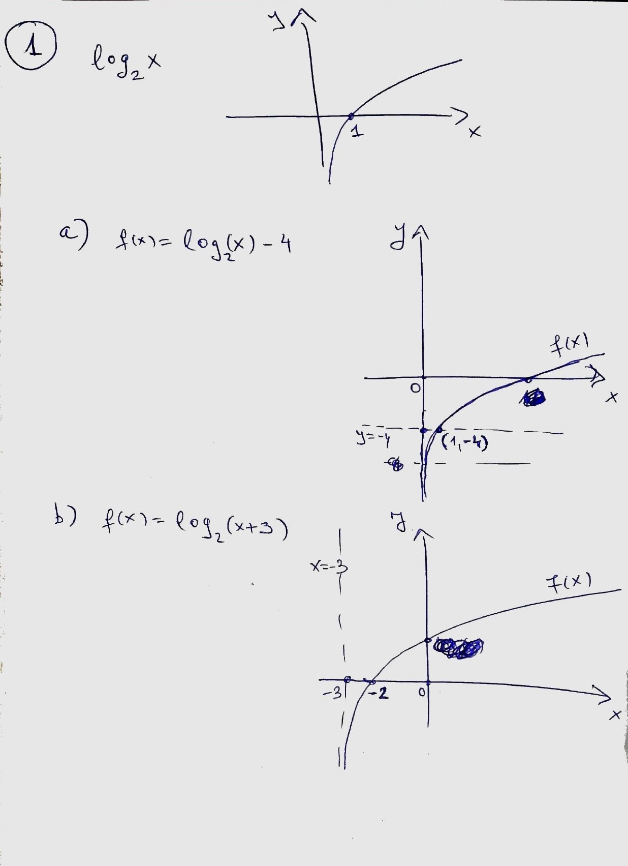
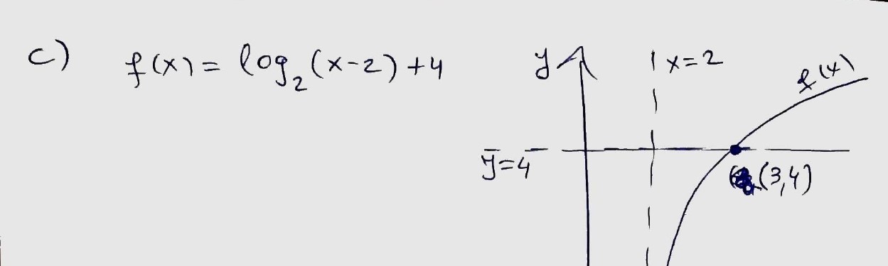
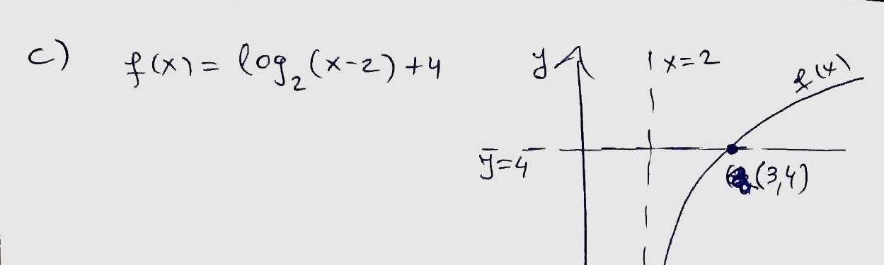
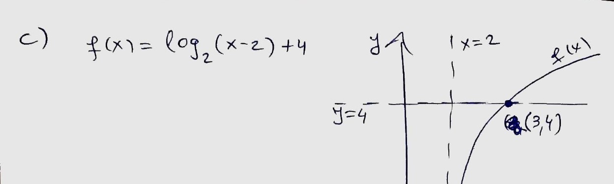
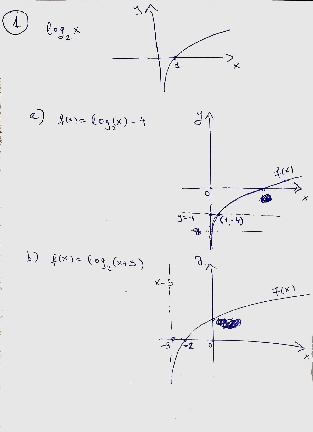
1) Using the graph of the function (x) = log2 (x) , sketch the fo...
1) Using the graph of the function (x) = log2 (x) , sketch the fo...