Subjects
Online Tutoring
Homework Help
Homework Library
Tutors
Online Classes
More
Bookstore
Blog
Technical Tips
FAQ
Contact Us
Get Help Now
Home
Homework Library
Mathematics
Pre-Calculus
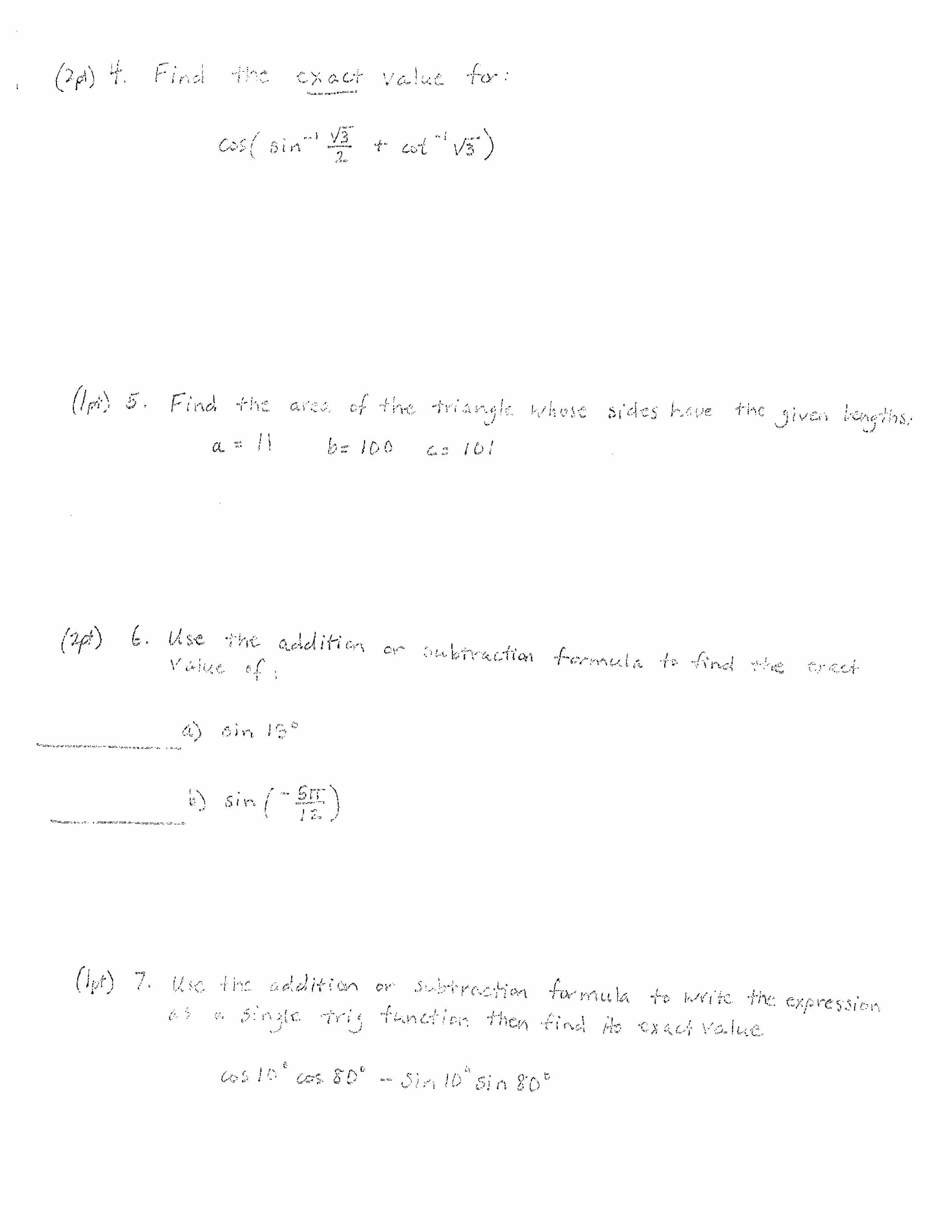
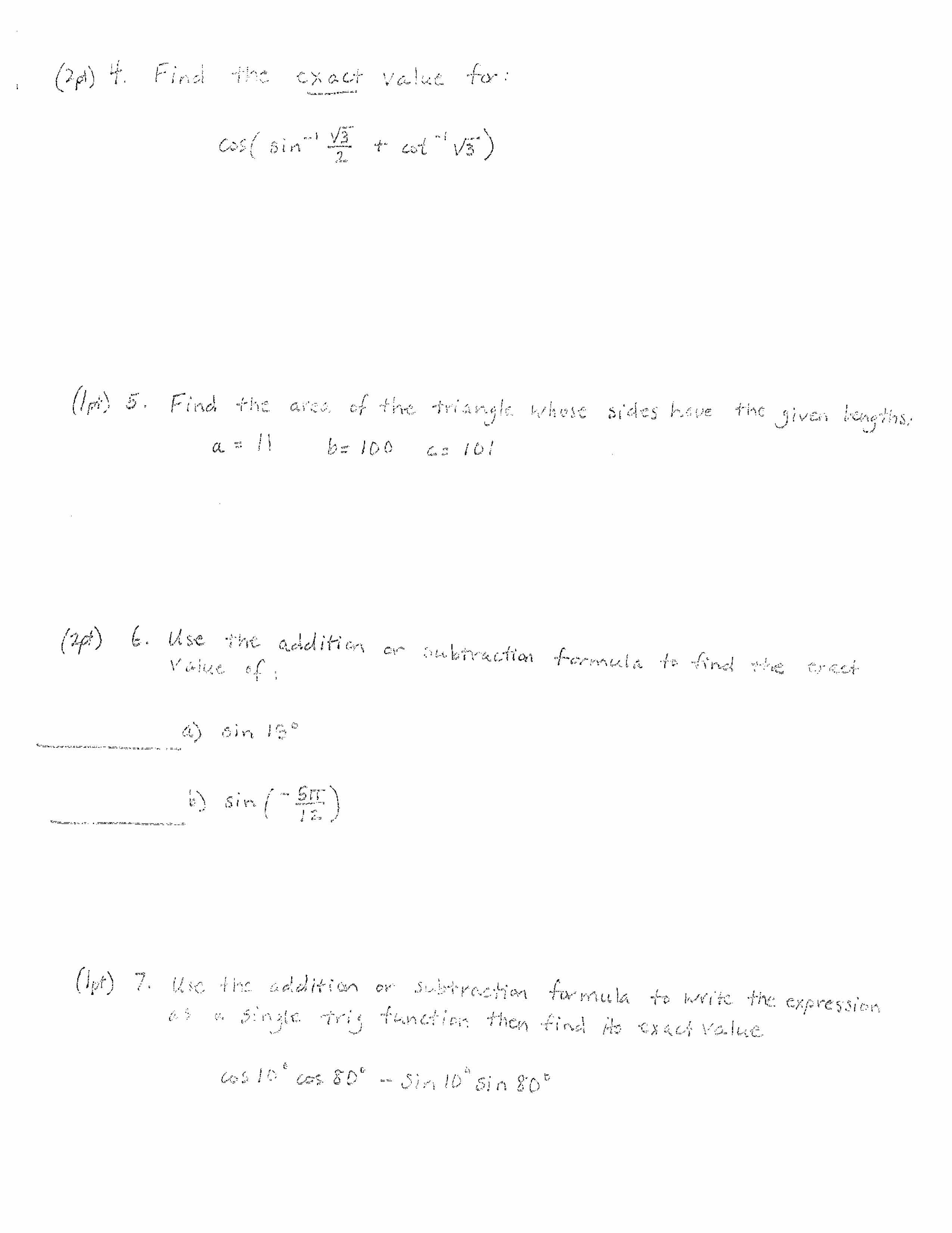
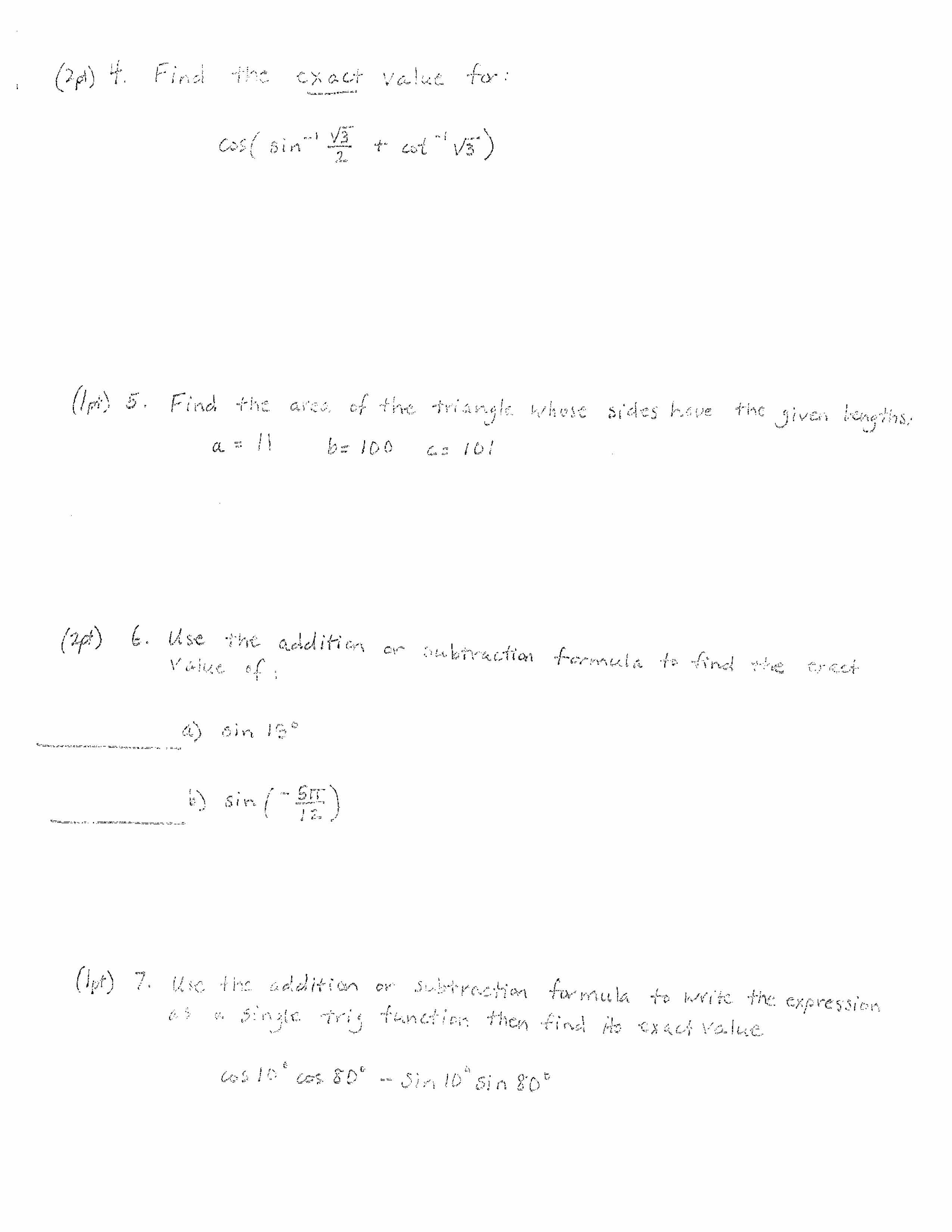
(spt) 1. Solve the triangla using the law of sincs: a LA b E LB...
(spt) 1. Solve the triangla using the law of sincs: a LA b E LB...