Subjects
Online Tutoring
Homework Help
Homework Library
Tutors
More
Bookstore
Blog
Technical Tips
FAQ
Contact Us
Get Help Now
Home
Homework Library
Mathematics
Pre-Calculus
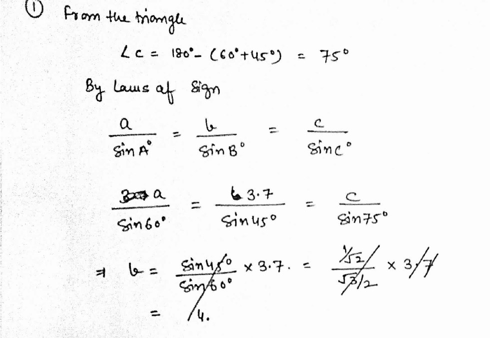
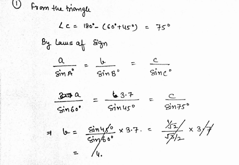
1. C 3.7 a 60° 45° A C B In Exercises 5-8, solve the...
1. C 3.7 a 60° 45° A C B In Exercises 5-8, solve the tri...