Subjects
Online Tutoring
Homework Help
Homework Library
Tutors
Online Classes
More
Bookstore
Blog
Technical Tips
FAQ
Contact Us
Get Help Now
Home
Homework Library
Mathematics
Probability
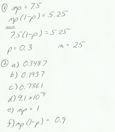
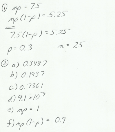
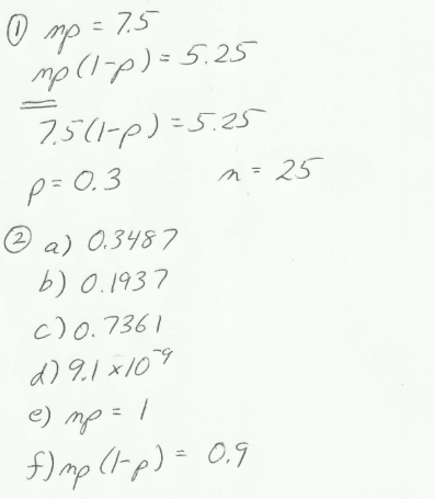
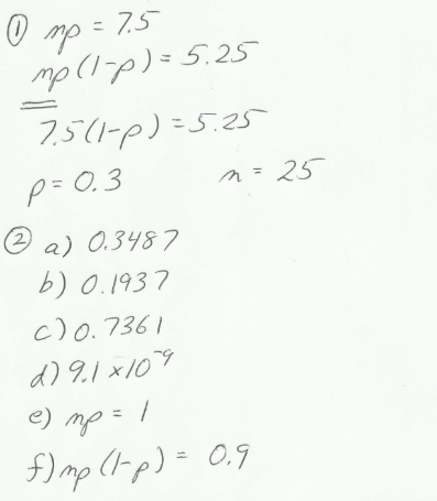
1. The random variable X has a binomial distribution with E(X)=7.5 ...
1. The random variable X has a binomial distribution with E(X)=7.5...